北京化工大学侯志灵教授团队在超宽带微波吸收研究方面取得重要突破
2023-09-05 01:33

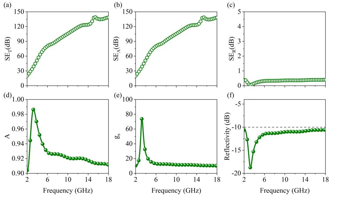
随着电子器件和微波雷达的快速发展,迫切需要宽带微波吸收材料来应对日益严重的电磁辐射。通过改变纳米材料种类或材料结构,可以改善吸收体和空气之间的阻抗匹配,但由于介电色散的限制,传统吸波材料几乎不可能在超宽频带内实现微波强吸收。超结构可以利用多重共振的耦合效应实现天然材料无法实现的超常物理特性,基于超结构设计可以有效地扩展吸波带宽,在宽带微波吸收方面表现出了良好的应用前景。近日,北京化工大学侯志灵教授和张均营副教授团队提出了能在2~18GHz的全频段内实现95%(-13dB)强吸收的微波吸收体。得益于VGCF/羰基铁的磁性-介电协同效应,吸波材料在较薄的厚度下表现出优异的吸波性能。该方法为超宽带强吸收微波吸收体的构建提供了一种新策略。与此同时VGCF/羰基铁复合材料还表现出优异的屏蔽性能,可作为一种优良的绿色电磁屏蔽材料。相关成果以“Broadband and strong microwave absorption combining excellent EMI shielding of VGCF/carbonyl iron composites derived from synergistic magnetic and dielectric losses”为题发表在国际权威期刊Carbon上。图2 P1,P2和P3在超结构设计下的反射损耗、输入阻抗匹配系数和归一化输入阻抗。图3 本文研究结果与参考文献微波吸收大于95%(-13dB)和97%(-15dB)的吸收带与吸收体厚度的比较。图4 P3超结构的(a) , (b) , (c) , (d)吸收系数 (e)绿色电磁屏蔽因子和 (f) 反射系数。侯志灵,教授,北京化工大学数理学院副院长,主要从事电介质物理方向研究工作,在宽带吸波材料、超材料与器件等方面取得了多项创新性成果。主持国家自然科学基金项目及其他纵向项目10多项。在Small、Nanoscale、ACS Appl. Mater. Interfaces、Carbon和Appl. Phys. Lett. 等学术期刊上发表论文100余篇,他引7000多次,其中高被引论文4篇。获得授权发明专利4项,获得省部级科学技术二等奖2项。担任教育部高等学校物理学类专业教学指导委员会华北地区工作委员会委员、北京电子学会材料电磁测量专委会委员、中国材料学会超材料分会理事、Frontiers in Materials 期刊副主编,Sensors期刊编委。
张均营,副教授,北京化工大学数理学院物理系科研副主任。主要从事电介质物理方向研究工作,在电磁波吸收材料、传感材料、储能材料与器件等方向取得了多项创新性成果。在Carbon、Nano Research和ACS Applied Materials & Interfaces等学术期刊上发表SCI收录论文30余篇,论文他引500余次。主持国家自然科学基金项目2项,获授权第一发明人国家发明专利2项,获得军事科学技术进步奖(省部级)二等奖1项。
论文链接:
https://www.sciencedirect.com/science/article/abs/pii/S0008622323006280(点击左下角“阅读原文”即可直达原文)
*本文来源:作者团队,感谢作者团队对本公众号的大力支持!
本文经作者授权标记“原创”,转载请联系:MatResFron001,并注明出处!
欢迎留言,分享观点。为作者打call,点亮右下角“赞”和“在看”↓↓↓