返回
化工塑胶
化工原理每日一题(9月4日)
2023-09-04 08:46
每日一题
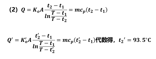
答案详见明日的每日一题推送
昨日答案
我知道你
在看
哟
打赏
发表评论
0评