
点击文尾阅读原文查看
作者 | CAE之家 仿真秀优秀讲师
首发 | 仿真秀App

导读:汽车NVH( Noise、Vibration、Harshness )在行业里素有“汽车玄学”之称,的确如此,不管是仿真分析、NVH性能开发以及NVH试验等等。NVH确实是衡量汽车制造质量的一个综合性问题,它给汽车用户的感受是最直接的。有统计资料显示,整车约有1/3的故障问题是和汽车的NVH问题有关系,而各大汽车企业有近20%的研发费用花费在解决汽车的NVH问题上,从这些方面可以看出NVH在整个汽车开发过程中的作用和地位。
其中,隔振就是把机械或仪器安装在合适的弹性装置上以隔离振动的措施。根据激振源的不同,隔振可分为两类。主要包括主动隔振和被动隔振。其中主动隔振是指将作为振源的系统与基础进行隔离,如发动机通过悬置与车身隔离,以减少发动机对车身的影响。其目的将振源与周围环境隔开,减小力的幅值,不让激振力传递到基础上。而被动隔振主要目的是减小基础激励对系统的影响,即较小系统位移的幅值。《汽车NVH之隔振分析与行用进阶7讲》是我最新在仿真秀官网原创的视频课程,旨在分享汽车及机械隔振理论、CAE分析及应用方法,详情减后文。

主动隔振示例图

被动隔振示例图
一、隔振的原理
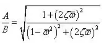
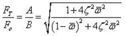
1、被动隔振主要目的是减小基础对设备的影响,即较小设备端位移的幅值。被动隔振系数定义是:为隔振后传至设备的位移幅值与隔振前传至设备的位移幅之比。

2、将作为振源的机器设备与地基进行隔离,以减少设备对环境的影响称为主动隔振,如下图所示。隔振目标将振源与周围环境隔开,减小力的幅值,不让激振力传递到基础上。主动隔振系数为隔振后传至地基的力幅值与隔振前传至地基的力幅之比。

通过上面分析可以发现,虽然主动隔振和被动隔振的原理有所不同,但最后得到的隔振系数的表达式是相同的。因此,隔振设计准则:只有频率比大于根号2时,才能起到隔振的效果。传递到基础上的合力与振源力幅比为隔振系数:
3、对于单自由系统无阻尼系统,如何建立仿真模型与数学模型之关的互相印证。假设该单自由无阻尼振动系统的质量m为1.0kg,系统的刚度k为100N/mm。

通过CAE计算,得到该系统的固有频率为50.33Hz,由理论公式计算得到固有频率为50.35Hz,即理论与CAE相吻合。
4、对于多自由系统阻尼系统,如何建立仿真模型与数学模型之关的互相印证。


通过CAE计算,得到该系统的固有频率分别为31.11Hz和81.43Hz,由理论公式计算得到固有频率分别为31.12Hz和81.48Hz,即理论与CAE相吻合。
5、对于单自由度简谐强迫振动系统,根据其运动方程可得到振动系统中的重要的三条线。

图3 单自由度简谐强迫振动下的运动方程

图4 质量、刚度及阻尼三线图示
三条线分别是刚度线、共振线及质量线,即分别为弹性主导、阻尼主导及惯性主导。
6、对于单自由度强迫振动系统在f/fn等于1.0时达到共振,此时峰值最大,其中f为激励频率,fn为系统固有频率。如某发动机二阶怠速激励频率为25Hz,动力总成bounce模态为17.68Hz,则f/fn约为1.414,此时悬置衬套具有隔振效果。要达到20dB左右的隔振,此时f/fn约为3.34左右,即动力总成bounce模态为fn约为7.49Hz。

图5 Test.lab处理结果图

图6 Hyperview处理结果图
二、实际应用案例
综上所述,在实际工程中,可以根据实际问题采用相应的方法进行分析优化。
(1)对一些低频振动问题,主要是弹性主导,即刚度主导。如座椅抖动、方向盘抖动之类的可以从提升结构刚度方面考虑,如结构形式,几字形结构、翻边、搭接及焊点优化等;
(2)对一些共振问题,如传动轴在某一转速下共振,此时可以采用共振的方法进行分析优化,如考虑动力吸振器,动力吸振器的设计可参阅《基于有限元法的动力吸振器设计研究》一文。如汽车前顶横梁在实际工程问题中比较典型,主要是前横梁弯曲拍击声腔,此时也可以考虑结构优化、加质量块或加damper等,通过共振分析优化,降低频率幅值,进而解决问题;
(3)对一些频率较高或近共振问题,可以考虑惯性主导方法进行优化,如增加质量块,将共振频率转移,一般是将共振频率一分为二等等措施,如后背门低频路噪问题,优先建议从结构优化考虑,再考虑damper或质量块方案等。


图6隔振分析Mobility公式

如该车架侧、动总侧及隔振垫三者的Mobility的曲线如上图所示,在100Hz左右峰值主要是由于车架侧横梁模态引起。另在图中可以看出整个系统在300Hz左右隔振较差,10dB隔振都未达到,通过分析这个峰值是动总侧悬置支架的模态所致,在考察频率范围内不满足隔振要求,需要优化提升。
优化方向可以是提升动总侧支架的安装点刚度,或降低隔振垫的刚度。但是需要结合整个系统的性能要、限位、空间布置等综合考虑,一般建议提升安装点的刚度来解决。
三、汽车隔振分析方法及实际应用视频教程

上新优惠价(限10名)
限时特价:299元(原价:399元 )
可开电子发票,赠送答疑专栏
提供vip群交流,课程可反复回看


(5)Hypermesh 、Optistruct 、Virtual.Lab等软件学习和应用者
3、你会得到什么
(1)汽车隔振分析简介
(2)汽车两自由度理论及CAE分析
(3)汽车两自由度理论及CAE分析
(4)汽车隔振分析相关基础理论
(5)汽车隔振分析Mobility理论基础
(6)汽车隔振分析动刚度基础
(7)汽车隔振、Mobility与IPI之间的关系
(8)汽车隔振分析在实际工程中的应用
(9)本套课程提供学习模型,以附件资料为准。解决学员在隔振分析应用过程中遇到的难点和痛点;
(10)为订阅用户提知VIP群交流,知识圈答疑和课程相关资料,可根据订阅用户群讨论问题酌情免费加餐内容。

在本公众号回复 仿真秀资料包 即可获取

