工艺玩具
卫材:AWZ1066S的早期工艺:从发现到公斤级
2023-09-02 00:22
Org. Process Res. Dev. 2023, 27, 1, 42–53,10.1021/acs.oprd.2c00167

AWZ1066S是一种高度特异性抗沃尔巴克氏菌候选FIC(First-in-class,全球首创)药物,用于人类丝虫病的短期治疗,由卫材印度公司、利物浦大学和利物浦热带医学院共同开发,目前处于早期临床阶段。本文介绍了AWZ1066S原料药及其起始物料的工艺开发工作。

AWZ1066S的结构如下:
AWZ1066S的工艺路线如下,包括三个起始原料,化合物7,化合物6和化合物9
最初合成路线见下图:
在实验室提供每批约100g规模的最终产品;
化合物3为原料,经伯酰胺,制备氰基后还原氰基得到化合物6;
和化合物7进行SNAr反应,和化合物9的SNAr反应,成盐得到API;
路线难度不大,但合成途径涉及多种试剂,即氧酰氯、三氟乙酸酐和雷尼镍,以及检测/纯化条件,如研磨,不适合进一步扩大生产,未来商业化角度,有效性、安全性和收率成本角度,还有优化研究空间。
1、API的工艺研究
以化合物6、7和9为注册起始原料,制备API。
第一阶段,化合物8的工艺优化
工艺条件,沿用最初路线的碱,三乙胺,改用NMP代替原来的THF,后处理采用加水分离化合物8,产率>85%、HPLC>99%。
杂质谱分析1,主要是8a和8b,杂质8a为杂质6a衍生,杂质8b是双SNAr工艺杂质。
杂质谱分析2,杂质6a是原料6引入三氟甲基时的类似物杂质,杂质7a和杂质7b是原料7降解产生。
原料7的稳定性研究,数据显示原料7很容易降解,其降解会影响下一步的反应速率。对原料7在−15°C、0−8°C和20−30°C进行了5周的稳定性研究,发现7在−15°C下是稳定的,需要低温保存。
稳定性不好不代表不可以作为注册起始原料,只是它不是很符合ICH Q11中某一个原则而已。
最好的策略是氯代吡啶并嘧啶前移一步,采用叠缩工艺,中间体7产出后直接用于下一步反应。
第二阶段,化合物2的工艺优化
工艺条件:筛选了不同溶剂DMSO, NMP, DMAc, ACN和不同碱DIEPA, DBU, K2CO3, Na2CO3, NaHCO3, K3PO4,其中DMSO/K3PO4组合最好,后处理加水分离。
杂质谱分析:杂质2a为8a衍生,杂质8b来源于中间体8;杂质2’,2b,2c,2d来源于原料9中的杂质衍生化。
杂质谱分析:原料9中的9’为异构体杂质,9b和9c是降解杂质(吗啉环常见降解杂质),9d是制备化合物9的工艺杂质,甲基化杂质来源于DMSO。
DMSO/碱的安全性评估:DMSO为溶剂,碱性条件下加热,必须考虑DMSO分解的风险。
工艺温度限制在最大107°C,夹套温度设置为110°C,消除了工艺温度超过110°C的可能性,对分解起始温度(143°C)保持36°C的缓冲。
第三阶段,API的制备研究
从稳定性和理化性角度,改最初的单盐酸盐改为半盐酸盐。
对成盐条件进行筛选,最终确定使用精确定量(0.5摩尔)的盐酸/水和乙醇作为溶剂,提供良好的收率(>85%)和质量(纯度HPLC>99%),增强杂质控制。
通过X-ray diffraction确认半盐酸盐结构。

2、起始原料6的工艺研究
临床前研究期间,化合物6来源于CMO的定制合成,合成化合物6的原料14,放大生产没有合适的供应商,必须自研。
第一阶段化合物15的制备研究
路线如下,最关键的是化合物12的制备,以DMF为原点,经化合物a、b、d,一锅法制备化合物12。
化合物12是构建吡啶环的典型前体,c的预先混合至关重要。

化合物12经氨水关环得到化合物13,硼氢化钠还原可得化合物14,在放大过程中发现反应转换时间从2小时到24小时不等,可能原因为碳酸氢钠在甲醇中的不稳定性导致,通过将酯13溶解在甲醇中而不是THF,并将其加入到反应器中的硼氢化钠、THF和甲醇的混合物中来解决的。最终构建OMs得到化合物15。
主要杂质是化合物13a和掉F化合物14a;杂质13a来源甲醇酯交换,杂质14a来源硼氢化钠还原步骤的脱F路径。
第二阶段,OMs制备伯胺6的研究
路线A:化合物15和双BocNH反应,得到化合物19a和化合物19b,再甲基磺酸脱Boc,得到化合物6,这也是前期研究采用的路线。
路线B:化合物15和化合物17作用,得到化合物20a和化合物20b,再水解去甲酰基得到化合物6
策略C:化合物15和化合物18作用得到化合物21,去保护后成盐,得到化合物6
路线评估和确认
路线A,尚可接受,主要问题为16取代甲磺酸盐需要高温(80−90°C)、溶剂提取和蒸馏来纯化产品(该材料是一种深棕色油,85−95%HPLC纯度,由单保护(19a)和双保护(19b)化合物组成)。随后用甲磺酸(MsA)处理19b,得到二甲磺酸形式的中间体6,总产率为44%,纯度>99%;
路线B,第二步水解甲酰基,得到6得盐酸盐需要研磨,后处理复杂,单步收率仅有59%;
路线C,Gabriel胺合成,中间体21以固体形式直接分离,工艺角度也相似。
路线确认:路线A去除杂质14a的衍生杂质能力差,API中有残留;路线C脱除Pht步骤结晶过程以50%清除率有效去除杂质14a的衍生杂质。
最终选择路线C。
该中间体的关键为多取代吡啶环的高效构建;伯醇构建伯胺的策略,无论是经卤素策略还是OMs策略,都离不开磺酸铵杂质研究说明。
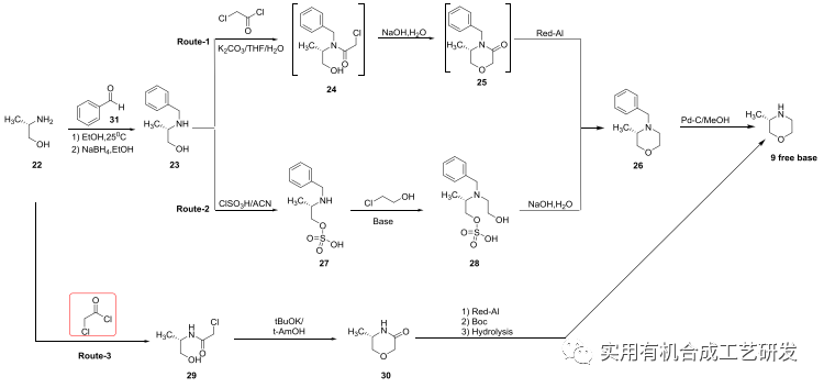
3、起始原料9的工艺研究
合成策略
路线1:化合物22和化合物31经还原氨化得到化合物23,经氯乙酰氯,先进行酰基化,然后在碱性环境下关环可得化合物25,红铝还原酰胺得到化合物26,氢化脱苄基得到化合物9
路线2:还原氨化得到的化合物23先制备磺酸酯27,再和氯乙醇进行烷基化得到化合物28,氢氧化钠条件下关环得到化合物26,再去除苄基
路线3:化合物22直接和氯乙酰氯反应,酰基化然后关环得到化合物30,红铝还原酰胺,上Boc保护纯化,脱Boc得到化合物9
路线评估确认
路线1,可行,反应条件可以满足放大需求;
路线2,氯乙醇烷基化转化率太低,舍弃;
路线3,虽然步骤少,但是不实用,中间体30和游离碱9水溶性太高,导致收率低。
路线1的研究
主要问题:中间体23、25和26的质量不理想,产率低;由于其油状物的形式,中间体23和26的纯化和处理存在困难
化合物22和化合物31先形成席夫碱,再用0.75eq.硼氢化钠还原,最初分离游离碱,但是纯度不好,以盐酸盐形式分离,可以改善质量;
氯乙酰氯第一阶段酰化过程,问题不大,第二阶段加入少量相转移催化剂可以缩短反应时间;
红铝还原酰胺后,最初采用分离游离碱,但是纯度不好,以盐酸盐形式分离,保证质量;
盐酸盐形式直接氢化去除苄基,得到目标物的盐酸盐,反应完成后,将反应液转移至CUNO(3M Zeta Plus活性炭系列过滤器,R55SP)筒式过滤器,以控制Pd含量。
总结:
工艺优化后,整体收率较原始工艺提高50%,成本显著降低。

发表评论
0评