这周六,9月2日下午,参加化工原理(上)的补考,这两天突击学了点,结合上学期期末试卷,浅出一个解析,欢迎转发给需要的朋友、
一、单项选择
1、流体在一段圆形直管中做稳态的层流流动,测得平均流速为0.5 m/s,则管中心处的点速度为( C )。
A. 0.25 m/s
B. 0.5 m/s
C. 1.0 m/s
D. 1.5 m/s
无论是层流或湍流,在管道任意截面上,流体质点的速度均沿管径而变化,管壁处速度为零,离开管壁后速度增加,到管中心处速度最大、 此处,层流:抛物线型,平均速度为最大速度的1/2。湍流:碰撞和混合使速度平均化。
0.5*2=1,就这么简单
2、若当地大气压为一个标准大气压,下列关于压力的比较,正确的是( A )。
p1(表压)= -0.4 atm,
p2(真空度)= 400 mmHg,
p3(绝对压力)= 4000 Pa
A. p1>p2>p3
B. p2>p1>p3
C. p3>p2>p1
D. p1>p3>p2
这题很基础,考的是压强的表示方法,不就比较嘛,都换算成绝对压力就好。
3、流体在圆形直管中流动时,若流体处于完全湍流区,则随着Re的增大,摩擦系数( D )。
A. 增大
B. 减小
C. 先增大后减小
D. 基本不变
一般湍流区,λ随Re增加而递减、随相对粗糙度增大而增大。
完全湍流区(阻力平方区) λ与Re无关。
4、液体在异径管路中做稳定流动时,下列参数中恒定的是(A )。
A. 体积流量和质量流量
B. 平均流速和质量流速
C. 体积流量和质量流速
D. 质量流量和质量流速
连续性方程(质量守恒方程式) u1A1ρ1=u2A2ρ2,
异径,嘛意思,管径变了啊,那面积A铁不一样啊,u流速变变变
所以选流量!
5、通过关小出口阀减小离心泵的输液量时,下列关于泵的扬程和轴功率的说法,正确的是( A )。
A. 扬程增大,轴功率减小
B. 扬程增大,轴功率增大
C. 扬程减小,轴功率减小
D. 扬程减小,轴功率增大
离心泵的特性曲线

阀门关小,局部阻力变大,管路特性方程中B(斜率)值变大,曲线变陡,工作点流量Q减小、扬程增大。其实表述上,说工作点左移会好点,H扬程增大,但是轴功率N减小.反之阀门开大,则工作点流量增大、扬程减小,轴功率增大。
6、为了防止离心泵汽蚀的发生,下列措施中错误的是( D )。
A. 泵的位置尽量靠近液源
B. 选直径稍大的吸入管路,吸入管径通常大于压出管径
C. 吸入管尽量减少弯头,省去不必要的管件
D. 在吸入管路安装流量调节阀

↑Eva剧场版中是这样的↑
引起汽蚀现象的可能原因有很多,主要可能有以下几点:
......间接增高了安装高度;
进口管路结垢严重,发生堵塞,使进口管路阻力变大;
进口段阀门没有全开,阻力大;
说到底,还是得想办法减小阻力,那进口安装流量调节阀,不太好吧?
7、用油泵从密闭容器中送出丁烷。经计算,泵的允许安装高度为2 m,则该泵的实际安装高度为( B)。
A. 2.5 m
B. 1.5 m
C. 2 m
D. 3 m
这题其实可以猜猜看, 但是通常为安全起见,离心泵的实际安装高度应比允许安装高度低0.5~1m,嗯,是这样的。
8、过滤操作需要回收滤渣中残留的滤液。恒压过滤操作结束,用某种液体对滤饼进行洗涤时,洗涤速率为( A )。
A. 常数
B. 变数,先增后减
C. 变数,逐渐减小
D. 变数,逐渐增加
板框过滤机——横穿洗涤法洗液穿过两次滤布及整个滤框厚度的滤饼,因此其流 经长度约为过滤终了时过滤流经长度的两倍,而洗液通过的面积仅为过滤面积的一半,如果所用的洗液与滤液的粘度相同洗涤所用的压力差和过滤时也相同吗,则洗涤速率约为最终过滤速率的1/4
此处滤饼已经固定了,洗涤速率可以当恒定的值了。
9、为获得最大生产能力,对于间歇操作的恒压过滤机,若滤布阻力可忽略,过滤时间q与辅助时间qR的关系一般为( C )。
A.q=qR
B. q>qR
C. q<qR
D. 2q=qR
若忽略介质阻力,则过滤时间和洗涤时间之和等于辅助时间,生产能力最大。
那过滤时间<辅助时间,肯定得保证啊!
10、比较以下对流传热系数,正确的是( A )。
A. α水蒸汽冷凝>α有机蒸气冷凝
B. α水蒸汽滴状冷凝<α水蒸汽膜状冷凝
C. α空气湍流>α水湍流
D. α水蒸汽冷凝<α水湍流
强制对流时的α>自然对流时的α, 有相变时的α>无相变时的α, 液体的α>气体的α 凑活看看

11.冷热水通过列管换热器换热,热水进口温度为90 °C,出口温度为50 °C,冷水进口温度为15 °C,出口温度为53 °C,冷热水的流量相同,且假定冷热水的物性相同,则热损失占传热量的( A)。
A. 5%
B. 6%
C. 7%
D. 8%
逆流:花小图,德尔塔T-德尔塔t/德尔塔T,比比大小(冷热流体的温差)
12、关于总传热速率方程Q=KAΔtm中的平均温差Δtm,
以下说法正确的是( B )。
A. 为冷流体的温升或热流体的温降
B. 为传热推动力
C. Δtm=φΔtm逆
D. Δtm逆≥Δtm并≥Δtm错,折
听说过,阿卡姆剃刀吗?“如无必要,勿增实体” ,看着不靠谱的咱就别选,
Δtm逆≥Δtm错,折≥Δtm并;
C选项说的是特殊情况,不是一般情况
13.工业上使用列管式换热器时,需要根据流体的性质和状态确定其是走管程还是走壳程。一般来说,高压流体宜走(管程 ),黏度大的流体宜走( 壳程 )。
14.蒸发时,由于水分的蒸发而引起溶液的浓度增加,( 不利于 )传热。
A. 有利于
B. 不利于
C. 不影响
D. 无法判断是否影响
15. 为防止物料变性或分解,蒸发热敏性溶液时常采用( 减压)蒸发。
A. 加压
B.常压
C. 减压
D. 超高压
二、分析题
1. 离心泵将水由水池送往敞口高位槽。现泵的转速增加,管路情况不变,则管路的流量、泵的扬程、泵的轴功率如何变化?试分析原因。
当泵的转速增加,泵的特性曲线上移,和管路特性曲线的交点即工作点向右上方移动,所以管路的流量增大,泵的扬程增大,泵的轴功率增大。
2. 一个炉壁由230 mm厚的耐火砖、115 mm厚的保温砖和230 mm厚的建筑砖构成。试分析在各层之间存在的空气层对保温效果起到什么作用?解释原因。
空气层对保温有利。空气的导热系数小,为热的不良导体,空气层提供了额外的热阻。
- 下面是特别提醒,特别提醒,特别提醒
- 特别提醒:传热效果不好,啥情况?
如果把这话说的专业点:在某列管换热器里用饱和水蒸气加热某工艺介质,使用一段时间后加热效果下降,可能的原因是? 可以从四个方面来讲,
①.壳体内不凝气或冷凝液增多,由于不凝气增多,相当于增加了一层热阻,使总传热系数下降,传热效果变差。
②.使用时间长了,管路结垢,热阻变大,效果不好。
③.冷却水阀门小了,通常用增加冷却水流量的措施来保障传热效果。
④.热蒸汽的压力下降,Δtm减小
省流:
根据Q=KSΔtm分析,
①蒸气压力下降,Δtm减小;
②蒸汽侧有不凝气,使冷凝传热系数αo大幅度地下降,K减小;
③水侧污垢积累,污垢热阻增大,K减小;
④冷凝水排除器不通畅,有积水现象,使K减小。
三、计算题
用离心泵将密度为1050 kg/m3的液体,从敞口槽A送至敞口高位槽B。两槽液面均维持恒定,其间垂直距离为20 m。输送量为50 m3/h,采用ϕ108 mm×4 mm无缝钢管。已知全系统的直管总长度为108.8 m,管路上装有6个标准弯头、2个三通、1个全开截止阀,管件和阀门的总当量长度为61.2m。已知流动在湍流区,摩擦系数
(1)流体从敞口槽A送至敞口高位槽B的总阻力损失,J/kg;
总阻力系数法,当量法和阻力系数法加一起,注意计算器的使用方法!
(2)离心泵的扬程,m;
伯努利方程,求外功We
然后再用扬程的公式算喽 We/g
(3)离心泵的轴功率,W(泵的效率为0.8)。
中规中矩,按公式算
四、计算题
现要安装一台离心泵,用于将20℃清水输送至水洗塔内,计算得工作点下吸入口管压头损失为1.3m,动能为2J/kg,排出管阻力损失为4.8m。操作压力为10mH2O,查得允许吸上真空度为3m,试求:
(1)离心泵的允许安装高度。
(2)若改输送密度ρ=1200kg/m3的某溶液,操作压力为1atm,饱和蒸气压为3.5kPa,其他性质和条件假设不变,求泵此时的允许安装高度。
(1)Hg=1.496m
允许安装高度为1.496m,实际安装时应低0.5~1m。
(2)流体密度改变后的允许安装高度
在本题(1)中,操作条件与测允许吸上真空度的条件相同,不用对H’s进行换算,本题中条件发生改变,需进行换算
Hg=1.45m
IS100⁃80⁃160型离心泵在海拔1500m高原使用,当地大气压为8.6mH2O,以此泵将敞口池的水输入某设备,已知水温10℃。由管路情况及泵的性能曲线可确定工作点的流量为20m3/h,查得允许汽蚀余量为3.5m,已算得吸入管阻力为2.3mH2O。
问:最大允许安装高度是多少?(10℃水:ρ=999.7kg/m3,pv=1226.2Pa,g=9.7N/kg)
最大允许安装高度为2.67m。
五、计算题
某降尘室长2 m,宽1.5 m,高1 m,用于净化温度为20 °C,流量为3500 m3/h的常压含尘气体。含尘气体密度为1.2 kg/m3,黏度为1.81×10-5 Pa·s,气体中所含尘粒的密度为1500 kg/m3。试求:
(1)能被完全除去的最小尘粒直径,μm;
(2)50 μm的尘粒能被除去的百分数(假设进气中不同粒径的尘粒沿高度均匀分布)。

六、计算题
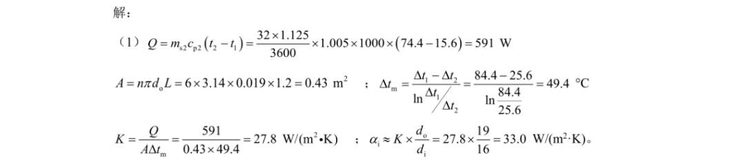
某列管换热器有6根换热内管,其规格为ϕ19 mm×1.5 mm,长1.2 m。在其中用水蒸汽加热管程湍流流动的空气测定其总传热系数。实验中用孔板流量计测得空气的流量为32 m3/h,空气进口温度为15.6 °C,出口温度为74.4 °C,蒸汽温度为100 °C。水蒸汽、换热器两侧的污垢热阻、壁面热阻及热损失均可忽略。定性温度下空气密度1.125 kg/m3,比热容1.005 kJ/(kg·
(1)试求以外表面积为基准的总传热系数K和空气的对流传热系数αi,W/(m2·K)

总热阻是由热阻特别大的那一侧的对流传热所控制。因此当两侧对流传热系数相差较大时,欲提K值,关键在于提高对流传热系数较小一侧的α。管壁温度接近于热阻小(即α大)的那一侧流体的温度。
本题壁温接近于蒸汽的温度,会判断即可!