北化工最新Angew!饱和盐水中水氧化,电流密度达2 A/cm2!
2023-08-25 08:33


【做计算 找华算】理论计算助攻顶刊,10000+成功案例,全职海归技术团队、正版商业软件版权!
经费预存选华算,高至15%预存增值!

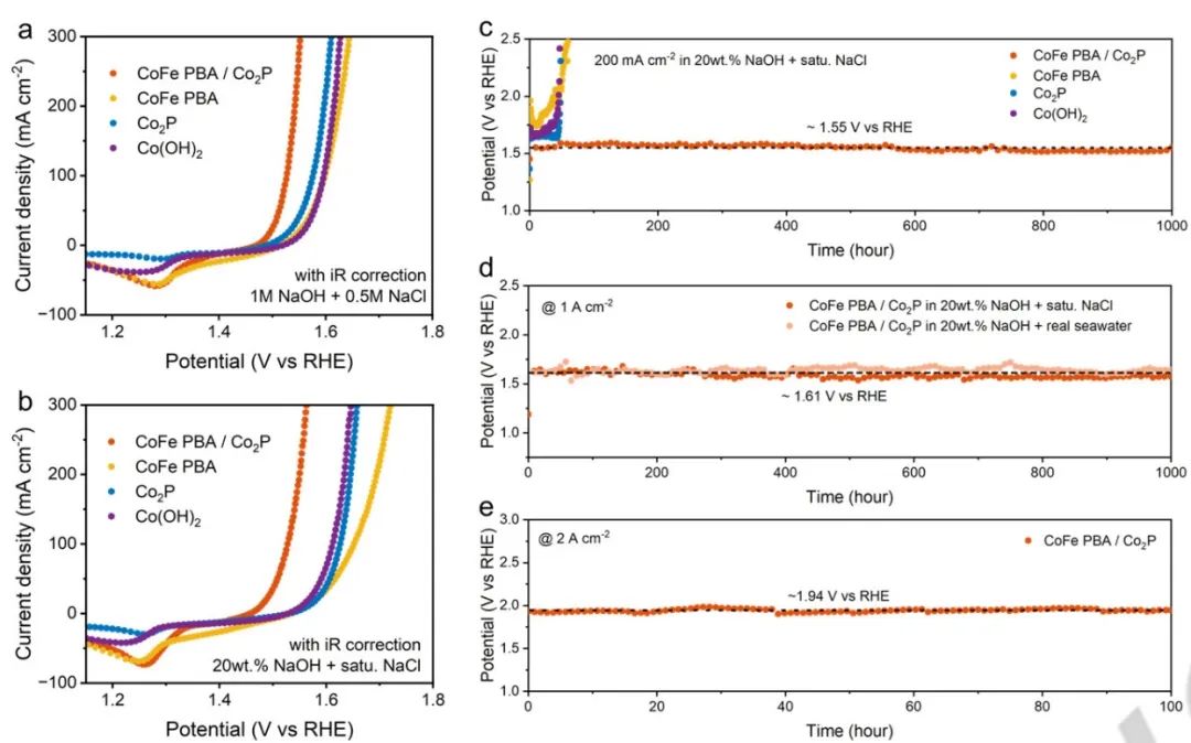
在高电流密度和低过电位条件下直接进行海水电解是生产清洁和可再生氢燃料的有效策略。然而,在连续注入海水的情况下,Cl-饱和会导致阳极被严重腐蚀,这严重阻碍了电解过程。基于此,北京化工大学孙晓明教授(通讯作者)课题组合成了具有帽/针状结构的铁氰化钴/磷化钴(CoFePBA/Co2P)阳极,它能在200-2000 mA·cm-2条件下稳定催化碱性饱和盐水氧化反应数百小时而不发生腐蚀。结合实验结果,分子动力学模拟显示,电极产生的 PO43- 和 Fe(CN)63- 通过静电排斥和致密覆盖在排斥 Cl- 方面发挥了协同作用,使 Cl- 吸附量减少了近 5 倍。这种新型阴离子协同作用为电极提供了卓越的腐蚀保护,有望促进盐水电解的实际应用。盐水占世界水资源的近 96.5%,是电解制氢的理想原料,可避免淡水资源的匮乏。然而,在盐水电解过程中,Cl离子(通常为 0.5 M)可能会被吸附和氧化,导致电极表面腐蚀,并产生对环境有害的 Cl2/ClO-。鉴于氧气生成反应(OER)的选择性和反应动力学不断加快,在海水中引入碱性(1M KOH 或 1M NaOH)会产生深远的影响,因为在 pH 值大于 7 时,OER 的标准氧化还原电位比氯氧化反应(ClOR)的标准氧化还原电位低 480 mV。然而,持续向电解槽中注入海水往往会使 Cl-([Cl-])的浓度增加至饱和浓度(约 5.3 M),从而导致更严重的腐蚀。为了缓解这一问题,相关研究证明将电解液中的碱性物质从 KOH 替换为 6 M NaOH,其中的共离子效应显著降低了 NaCl 的溶解度,从而使净[Cl-]达到 2.8 M。迄今为止,人们已经做出了巨大努力来解决观察到的瓶颈问题,即盐水电解过程中电极稳定性差的问题。最近的开创性工作表明,利用 CuMo6S8/Cu 和 Pt/NiMo 电极可在安培级电流密度下实现稳定的析氢反应。然而,在海水电解过程中,阳极的氧生成反应受限于 200-600 mA·cm-2 的电流密度,这是由于在阳极上吸附Cl-而引起的腐蚀导致。众所周知,氮化物、磷化物、硫化物和硒化物等多种电极会发生原位表面转化,在氧化时生成带负电荷的阴离子层,从而排斥 Cl-,保护阳极免受腐蚀。例如, NiFe LDH/NiSx/Ni 泡沫电极和 NiMoN@NiFeN 电极可在 1.5 M NaCl 电解液中以 0.6 A·cm-2 的电流密度稳定工作。遗憾的是,持续注入海水会导致 NaCl 饱和,并加强高电流密度下的 Cl- 腐蚀,这可能会阻碍海水电解的进一步发展。这就需要开发一种新的策略,在盐水电解过程中保护阳极免受腐蚀。图1. CoFePBA/Co2P 电极的合成和表征。(a) CoFePBA/Co2P 电极的合成路线示意图。(b) Co2P 和 CoFePBA/Co2P 的 XRD 图。(c) Co2P和CoFePBA/Co2P 的拉曼光谱图。(d) CoFePBA/Co2P 的扫描电子显微镜(SEM)图像。插图为 TEM 图像。(e) CoFePBA/Co2P 中 Fe(CN)63-/CN-和 PO43-/PO3-的 TOF-SIMS 图谱,以及 CoFePBA/Co2P 中 Co、Fe 和 P 的 EDX 元素图(比例尺:20 μm)。CoFePBA/Co2P 帽/针状电极(泡沫镍基底上的帽状 K2CoFe(CN)6 和针状 Co2P 复合材料)是通过三步法合成的:在导电泡沫镍上水热生长 Co(OH)2 纳米针,然后用 NaH2PO2 磷化,得到 Co2P 纳米针。最后,在 K3Fe(CN)6 溶液中对合成的 Co2P 纳米针进行二次水热处理,得到 CoFePBA/Co2P 帽/针状复合材料。图2. 盐水电氧化性能。(a) 在 1 M NaOH + 0.5 M NaCl 中的极化曲线。(c) 在含有 20 wt.% NaOH + 饱和 NaCl 的电解液中 200 mA·cm-2 时的 CP 响应。(d) 在含有 20 wt.% NaOH + 饱和 NaCl 和 20 wt.% NaOH + 实际海水的电解液中 1 A·cm-2 时的 CP 响应。(e) 在含有 20 wt.% NaOH + 饱和 NaCl 的电解液中,2 A·cm-2 时的 CP 响应。在标准三电极配置的电化学电池中,利用常规碱性海水电解质(1 M NaOH + 0.5 M NaCl)和碱性饱和盐水电解质(20 wt.% NaOH + 饱和 NaCl)测量了合成的 CoFePBA/Co2P电极的 OER 性能。图3. 离子协同作用的实验验证。(a) CoFePBA/Co2P 在 20 wt.% NaOH + 饱和 NaCl 溶液中不同电位下的原位拉曼光谱图。(b) CoFePBA/Co2P中N 1s和P 2p在20wt .% NaOH +饱和NaCl中时间电位测定前后的高分辨率XPS光谱图。(c) CoFePBA/Co2P 在 20 wt% NaOH + 饱和 NaCl 中活化后 CoFePBA/Co2P 电极表面的 PO3- 和 CN- 片段的 TOF-SIMS 图谱。初始测试在 1 M NaOH 溶液中进行 600 秒,600 秒后加入 0.5 mM EDTA-2Na。(e) Co2P 样品在 20 wt.% NaOH + 饱和 NaCl 电解液中(添加和未添加 80 ppm (0.24 mM) K3Fe(CN)6)200 mA· cm-2 的计时电位曲线。(f) (+)CoS||铂箔(-)和(+)CoSe||铂箔(-)在 20 wt.% NaOH + 饱和 NaCl 溶液(含或不含 80 ppm (0.24 mM) K3Fe(CN)6)中 200 mA· cm-2 的计时电位曲线。带负电荷的阴离子层可以排斥 Cl-,从而保护电极免受腐蚀。有资料表明,这种排斥力的强弱主要与静电排斥力和电极表面覆盖率有关。Co2P(由较小半径的 PO43- 保护)和 CoFePBA(由较大半径的 Fe(CN)63- 保护)都无法提供一个坚固的催化剂表面,以促进饱和盐水中的 OER 催化。然而,当使用 CoFePBA/Co2P 盖/针电极时,会产生PO43-/ Fe(CN)63-合并层。PO43的半径较小,具有强大的静电排斥力。然而,Fe(CN)63-的尺寸较大,可以弥补PO43-覆盖率低的缺点。因此,CoFePBA/Co2P电极可在饱和盐水中长期工作而不会腐蚀。图4. 离子协同作用的理论验证。(a) 离子协同作用示意图。(b) 累积 Cl- 浓度随垂直于不同样品的位置(距离)变化曲线。(c) Cl-浓度随垂直于不同样品的位置(距离)变化曲线。(d) Cl- 和 OH- 的累积浓度比较。(e) 不同电极在 6 mM NaOH + 2.8 mM NaCl 溶液中吸附 Cl- 的量,该量由离子色谱法测定。为了深入探讨重构 CoFePBA/Co2P 电极所产生的 PO43- 和 Fe(CN)63- 的协同效应,作者进行了经典的分子动力学模拟。利用 CoHO2 表面建立了重构 Co(OH)2、Co2P、CoFePBA 和 CoFePBA/Co2P 的模型。综上所述,作者合成了具有帽/针状结构的 CoFePBA/Co2P 阳极用于工业规模的高效盐水电解。优化后的电极经过重构,在 OER 过程中生成了 PO43- 和 Fe(CN)63-。有趣的是,PO43- 和 Fe(CN)63-分别通过静电排斥和致密覆盖发挥了排斥 Cl- 的协同作用,为电极提供了腐蚀保护。因此,CoFePBA/Co2P 电极能够在 200-2000 mA/cm2 的条件下氧化碱性饱和盐水以产生氧气,并持续数百小时而不发生腐蚀。结合实验结果,理论分析表明,与 Co(OH)2 电极相比,CoFePBA/Co2P 电极吸附的 Cl- 量减少了近 5.5 倍。这项工作为稳固阳极的设计提供了一种新策略,有望促进盐水电解的实际应用。Liu, Wei, Yu, Jiage, Sendeku, Marshet Getaye, Li, Tianshui, Gao, Wenqin, Yang, Guotao, Kuang, Yun, Sun, Xiaoming, Ferricyanide Armed Anodes Enable Stable Water Oxidation in Saturated Saline Water at 2 A/cm2. Angew. Chem. Int. Ed. 2023, e202309882.https://doi.org/10.1002/anie.202309882计算内容涉及OER、HER、ORR、CO2RR、NRR自由能台阶图、火山理论、d带中心、反应路径、掺杂、缺陷、表面能、吸附能等。