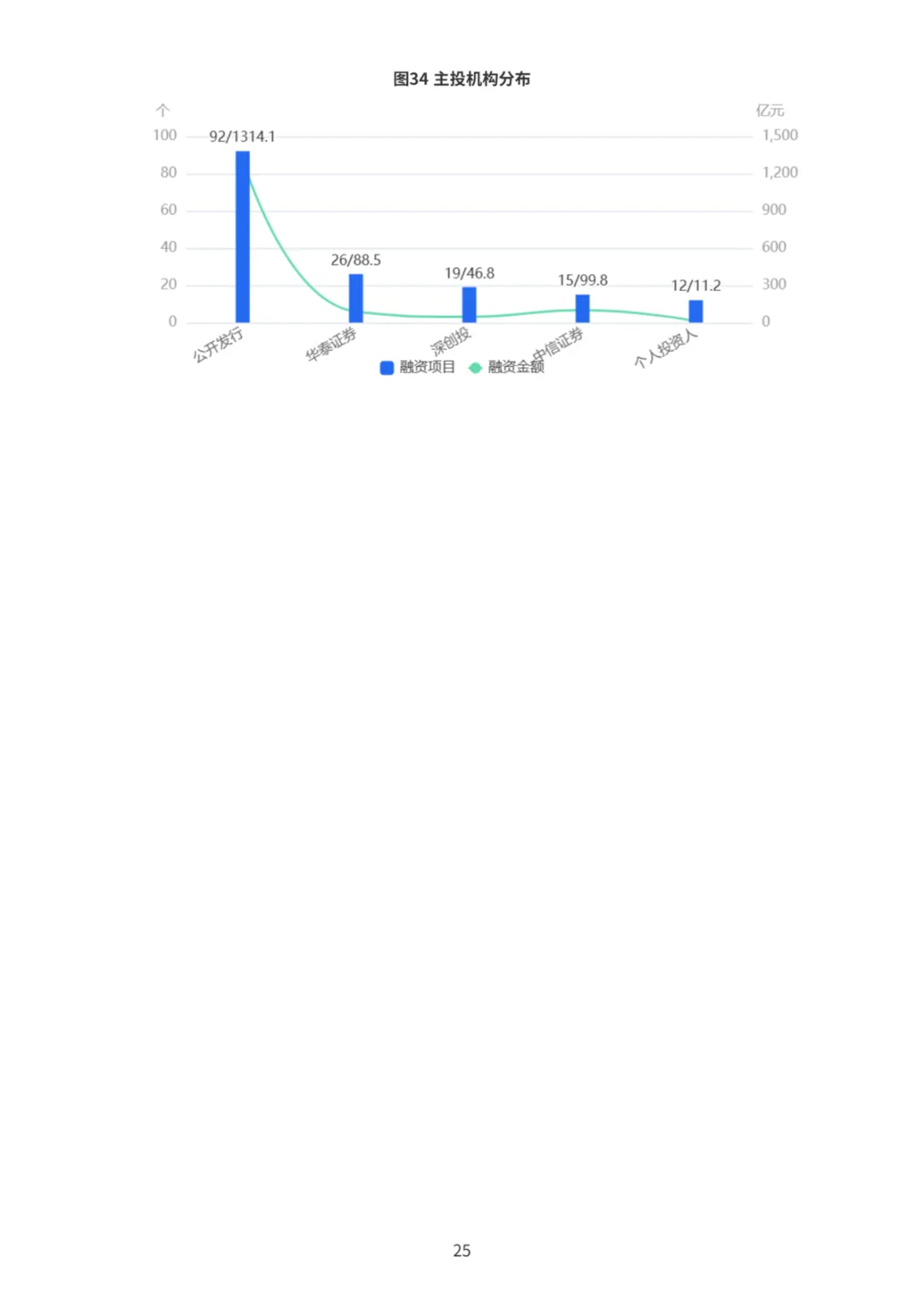
2026 年氢能产业研究报告全面呈现国内氢能行业发展格局。报告围绕产业图谱、企业概况、优质主体、科技创新、股权融资五大维度展开分析。氢能产业链覆盖原材料、生产供应、装备零部件及应用四大核心板块,细分二十九个具体环节,应用场景延伸至交通、工业、发电等多个领域。国内氢能相关企业总量达八千八百八十四家,民营企业占比超八成。江苏在企业总量、优质企业数量等多项指标中位居前列。企业运营年限集中在一至三年,注册资本以一千至五千万元区间为主。优质企业包含上市企业、高新技术企业、专精特新企业等类型,形成多层次优质主体结构。产业创新成果丰富,北京在创新平台、参研标准、专利及软件著作权方面保持领先。全国授权专利总量突破四十三万件,创新支撑能力持续增强。股权融资市场活跃度较高,累计融资项目一千八百四十个,融资金额超万亿元。江苏融资项目数量领先,北京融资总额突出。战略融资为主要融资轮次,亿元以上规模项目占比较高,资本对氢能产业的投入保持稳定态势。


























本资料已同步至双碳高端交流群,
欢迎加入,感谢您的支持!


(来源:上奇研究院)
免责声明:所载内容、图片来源互联网,微信公众号等公开渠道,我们对文中观点保持中立,仅供参考、交流之目的。转载的稿件版权归原作者和机构所有,如有侵权,请联系我们删除。本公众号原创文章,欢迎转载,转载时请注明出处。

入群、资料领取或商务合作,可添加小编微信,添加时请备注:公司+姓名+职位
相关资料下载
碳排放权交易信息中心 CERTIC(Certification Emission Reduction Trading Information Center),专业的碳排放权交易资讯平台,及时传递碳市场实时动态、国内外碳最新市场信息!
看更多走心文章
请点击下方【碳排放权交易信息中心】,进行订阅~