
敬 请 关 注
页岩储层层间暂堵转向工艺技术研究
徐浩,袁菁华,胡康存
大庆油田有限责任公司井下作业分公司,黑龙江 大庆 163453
针对大庆古龙页岩油储集层页理发育丰富,水平渗透率低,垂向无法流动等特点,需通过暂堵转向压裂技术增大净压力,利用暂堵颗粒封堵炮眼迫使压裂液转向,进一步提高裂缝复杂程度。本文通过分析暂堵颗粒在井筒以及炮眼附近的受力与暂堵前后压力变化,提出暂堵颗粒运动方程,建立评价暂堵颗粒坐封效果的两个参数,制定暂堵转向评价标准,形成了暂堵颗粒用量设计方法,研究页岩油试验区水平井压裂施工中暂堵颗粒的封堵效果。现场试验结果显示暂堵有效率达到66.7%,坐封效率达到74%,暂堵颗粒效率达到34%,暂堵后裂缝起裂位置或延伸方向明显不同,炮眼封堵有效,实现了压裂转向的目的,为今后页岩油储集层压裂改造提供理论支撑。
页岩油; 水平井分段压裂; 暂堵颗粒; 暂堵转向; 坐封效果
随着页岩油储层增产改造技术的不断深入,暂堵转向压裂工艺在页岩油储层开发中的重要性也不断显现[1]。页岩油储层主要采用密集切割、大段多簇、大排量大规模体积压裂“打碎”储层的压裂设计理念,层间暂堵转向工艺技术能够促进压裂裂缝复杂程度最大化和压裂储层改造体积最大化,增强储层改造SRV和压后产油EUR[2]。
暂堵转向压裂就是利用储层物性的差异和非均质性,改变人工裂缝的形态,让人工裂缝更加错综复杂的有效措施[3],依据先压开地层先进液的特性,在压裂期间投入高强度可溶暂堵颗粒[4],封堵易进液层段的射孔炮眼,迫使液体流转向难开启储层,使先开启裂缝延伸速度受阻,促使后开启簇裂缝得到有效延伸,提高井底的净压力,实现多簇充分均衡开启并形成新裂缝延伸扩展,压裂后暂堵颗粒在地层条件下一定时间内降解完全,随压裂液从地层排出,不会对地层造成污染[5]。
古龙页岩油储集层页理发育丰富,水平渗透率低,垂向无法流动,必须通过大规模水力压裂工艺技术实现工业化开采,复杂缝网的形成仅仅依靠大排量、大液量是不够的,储层改造SRV面积需进一步提高。根据其压裂施工工艺特点,从暂堵转向技术入手,分析暂堵颗粒在井筒与炮眼附近受力及封堵前后压力变化情况,建立暂堵颗粒运动方程,得到了暂堵颗粒在水平井筒中的运移速度,提出了坐封效率及暂堵颗粒效率两个参数,通过压前小型测试结果判断裂缝开启数量及进液孔眼数量,根据施工排量及压力波动情况实时调整暂堵颗粒投放参数和时机,达到复杂缝网形成的目的,实现页岩储集层的高效动用。
暂堵颗粒坐封因子模型
暂堵颗粒在井筒中运移时的受力主要有重力FG、压力梯度力Fp、阻力Fd、附加质量力Fm、Basset力FB的影响,见图1,该模型适用于暂堵颗粒在直井或水平井井筒倾角位置的受力[6-7],暂堵颗粒的受力为后续坐封因子模型提供计算参数。

暂堵颗粒的运动方程为:

各作用力的表达式为:


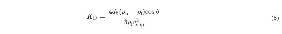
进一步可知拖拽系数KD表达式为:

研究发现,暂堵颗粒在炮眼附近运动时同时受到惯性力和退拽力影响,当拖拽力大于惯性力时,暂堵颗粒坐封到炮眼上。
拖拽力计算公式:

惯性力计算公式:

将拖拽系数KD代入公式(9)、(10)可得坐封因子表达式为:

根据式(11)可知,暂堵颗粒坐封因子值越大,表明暂堵颗粒所受到的拖曳力越大,越容易封住进液炮眼,实现暂堵颗粒封堵高导流能力炮眼的目的,vb、vperf其中主要受推暂堵颗粒排量影响,db可根据射孔弹直径及炮眼磨蚀情况进行调整。
暂堵转向技术的成功应用首先需找到影响坐封因子的主要影响因素,即推颗粒排量、射孔直径及暂堵颗粒直径,制定合理的暂堵评价标准及可行性的评价方法,根据需求制定暂堵颗粒的材料、直径、密度、数量等关键参数,利用暂堵颗粒临时封堵作用,提高净压力,促使更多新裂缝的开启和延伸,增加裂缝的复杂程度,增大单井改造体积。
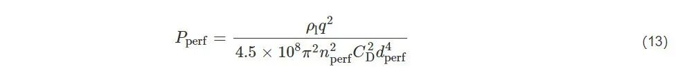
对于页岩油储层压裂工艺技术,施工排量一般在14~20 m3/min,当暂堵颗粒到达炮眼处对初次进液通道形成暂时封堵作用,井底净压力增加导致地面施工压力上涨[11],White等[12]研究发现,由暂堵颗粒引起的压力变化值如式(12)所示:

其中,

将式(13)带入式(12)得到:

求解上述方程,封堵后进液孔眼数为:

封堵孔眼数目为:


定义暂堵颗粒效率为:

暂堵颗粒坐封效率为孔眼封堵数与暂堵前进液孔眼数的比值,暂堵颗粒坐封效率越高,意味着孔眼封堵数量越多,暂堵颗粒封堵效果越好;暂堵颗粒效率是封堵孔眼数与投入暂堵颗粒数量的比值,暂堵颗粒效率越高说明起到封堵效果的暂堵颗粒越多。
依据勘探院的物理模拟实验结果,其中储层岩石弹性模量21 GPa,泊松比0.24,储层渗透率2×10-3 μm2,储层孔隙度10.8%;地层压力30 MPa,水平最大主应力30 MPa,水平最小主应力27 MPa,以此为实际基础建立有限元网格数值模型,如图2所示,当地层应力发生反转后,如果反转后应力差<3 MPa,人工裂缝仍延原裂缝延伸,应力差>3 MPa,可以产生新的裂缝,故以暂堵响应压差3 MPa为暂堵评价标准,采用暂堵响应压力上涨评价方法,即在低排量或施工排量保持不变同时投入前后液体性能保持不变的情况下,持续观察压力上涨幅度,当压力上涨停止后压力降落时与上涨前初始压力进行对比,压力涨幅可具体分为暂堵颗粒到位压力和施工前后同排量下的压力对比[13-15]。
图2 有限元模型和应力差模拟结果[15]暂堵颗粒的优选条件需满足:(1)适当的用量,暂堵颗粒用量过少,封堵程度不够,导致复杂缝网形成范围受限;暂堵颗粒用量过多,不仅造成施工成本的浪费,还使现场的施工难度增大和作业时间增加;(2)合适的粒径,与磨蚀后的炮眼匹配性较好,随压裂液入井后能够有效嵌入炮眼;(3)适合的排量,推颗粒排量过高会降低暂堵颗粒坐封因子,坐封效果受限,推颗粒排量过低会导致暂堵响应压差过高,造成后期施工难度高,施工时效低;(4)具有一定的封堵性,即在满足储层温度、压力条件下形成有效封堵,提高裂缝缝内净压力,进而使得难进液裂缝得到有效开启;(5)压后一定时间内可以彻底降解并顺利返排出井筒,避免对地层造成伤害。
2.2.2 暂堵颗粒用量
目前暂堵颗粒设计用量主要依据进液孔眼数量与加砂量决定,根据压前小型测试计算得出进液孔眼数,如表1所示,综合考虑暂堵前加砂量为60~160 m3,进液孔数在20~30个,以及暂堵颗粒密度损耗等因素,选择暂堵颗粒用量为进液孔数的2~3倍,即单段暂堵颗粒40~90颗[16]。

暂堵颗粒直径选择主要参考试验区射孔枪型及弹型,试验区首段采用YD95枪EH39RDX30-1等孔径弹,其余层段采用YD89枪,EH39RDX30-1等孔径弹,孔密20孔/m,相位60°,单段射开35~60孔,根据射孔弹孔径11.2 mm为原则,暂堵颗粒直径大于孔眼直径6 mm左右,考虑加砂打磨孔眼(见图3),暂堵颗粒直径可以根据砂量大小增加,暂堵前砂量>100 m³时,暂堵颗粒直径调整至大于孔眼6~10 mm,综合考虑采用Ø15~22 mm暂堵颗粒。

图3 射孔孔眼及孔眼磨蚀示意
Fig.3 Schematic diagram of shot‑holes and hole abrasion
2.2.4 推暂堵颗粒排量
由式(11)可知,暂堵颗粒坐封因子与暂堵颗粒运移速度呈负相关关系,即暂堵颗粒运移速度越低,则暂堵颗粒坐封因子越高,而暂堵颗粒运移速度与推暂堵颗粒排量呈正相关性,即推暂堵颗粒排量越高,暂堵颗粒运移速度越高,综合可知,暂堵颗粒坐封因子与推暂堵颗粒排量呈负相关,结合现场施工情况也验证了其相关性,但由于页岩油储层施工排量高,施工难度大,采用5.0~7.0 m3/min排量进行推颗粒后压力涨幅过高(见图4),导致后续施工难以顺利进行,故认为适当提高推颗粒排量至8.0~10.0 m3/min,在提高整体施工效率的前提下保障暂堵效果[17-18]。

根据优化的实验结果,总结出古龙页岩油层间暂堵转向压裂的暂堵相关参数,如表2所示。

在X页岩油试验区中的10口井中应用层间暂堵转向技术,本文以B井为例,B井设计压裂层段28段,其中21段采用暂堵转向工艺,B井具体压裂施工参数如表3所示,暂堵颗粒坐封效果如表4所示。

根据全井压裂施工参数进行暂堵封堵效果评价,分析影响暂堵颗粒封堵效果的因素发现,达到设计要求14段,占比66.7%,实际暂堵响应压差在0.2~10.8 MPa,平均4.3 MPa,颗粒坐封效率在20%~100%之间,平均74%;暂堵颗粒效率在7.53%~70%,平均34%,有效封堵了进液炮眼,实现了转向压裂的目的。各段暂堵颗粒封堵效果不一致,分析原因是各段地质、工程参数存在一定程度差异,通过第2、4段参数对比发现,采用较高的推颗粒排量,并提高大粒径暂堵颗粒能够实现较高的坐封效率,从第4、5段参数对比发现,控制射孔数量、提高大粒径颗粒、并控制暂堵前砂量占比能够避免“超级孔”的产生,提高整体坐封效率。进一步调整参数后从第6段开始普遍坐封效率>70%,达到预期效果。
微地震监测效果验证
采用地面微地震与井下微地震相结合的监测方式,与现场施工过程中统计的暂堵响应压差进行对比发现,暂堵响应压差>3.0 MPa,明显开启新缝,裂缝启裂位置或延展方向明显不同;暂堵响应压差0~3.0 MPa,新老缝交织,暂堵后裂缝方位有一定变化;暂堵响应压差<0 MPa,暂堵前后裂缝延展方位一致,无明显新缝开启特征。从微地震图中看出,在纵向上,暂堵后的微地震解释事件范围并没有超过暂堵前,暂堵转向没有在纵向上实现转向;横向上,暂堵前后微地震解释事件范围变化大,说明暂堵转向作用在页岩横向层间。
第11段暂堵响应压差10.8 MPa,暂堵前左翼缝延北偏西103°延伸,右翼缝延北偏东57°延伸,暂堵后左翼缝延北偏西73°延伸,右翼缝延北偏东97°延伸,左右两侧延展方向明显发生改变,说明有新裂缝开启(见图5)。

第18段暂堵响应压差1.9 MPa,暂堵前左翼缝延北偏西96°延伸,右翼缝延北偏东84°延伸,暂堵后左翼缝延北偏西105°延伸,右翼缝延北偏东80°延伸,新老缝交织,延展方向有一定变化(见图6)。

第22段暂堵响应压差-2.3MPa,暂堵前左翼缝延北偏西90°延伸,右翼缝延北偏东84°延伸,暂堵后左翼缝延北偏西85°延伸,右翼缝延北偏东89°延伸,延展方位一致,无明显新缝开启特征(见图7)。

(1)建立了暂堵颗粒运动方程,提出推颗粒排量、射孔直径及暂堵颗粒直径是影响坐封因子的主要技术参数,定义了坐封效率和暂堵颗粒效率两项评价指标,可用于封堵效果评价。
(2)对暂堵颗粒用量、暂堵颗粒直径、推颗粒排量等参数进行优化设计,形成了符合页岩油储层水平井暂堵转向需求的设计方法。
(3)现场应用21段,达到设计要求占比66.7%,暂堵响应压差在0.2~10.8 MPa,平均4.3 MPa,坐封效率在20%~100%之间,平均74%;暂堵颗粒效率在25%~40%,平均34%,有效封堵了进液炮眼,实现了压裂转向的目的。
(4)对比微地震监测数据发现,暂堵响应压差大于3.0 MPa,明显开启新缝,裂缝启裂位置或延展方向明显不同,说明通过封堵炮眼可以实现转向压裂的目的,为今后页岩油储层改造提供理论依据。
参考文献(References)
(详见原文)
引用本文:徐浩,袁菁华,胡康存.页岩储层层间暂堵转向工艺技术研究[J].钻探工程,2023,50(4):127-134.
本文刊登于《钻探工程》2023年第4期,点击“阅读原文”可下载原文
