有机合成工艺优化---(8降低杂质含量)
8.2工艺优化步骤(二)
8.2.1 优化反应温度
理想的反应温度就是在可接受的反应时间内得到高品质的产品。升高温度通常可提高反应的速率,但同时升高温度也会降低反应的选择性。在考察理想反应时间的时候,一方面考虑该反应要达到适当的反应值;另一方面要考虑在规模化生产时减少反应设备占用时间,两者之间要达到一种平衡。图8.6描述了温度的变化在对甲苯磺酸的氯代反应中对转化率和选择性的重要性[5],反应都进行4小时,60°C时收率最高,80°C 时收率降低,因为在80°C时H2O2分解的速率要比H2O2与HCI的反应速率要快。但温度从60"C升高到80C时反应的选择性基本没有变化。

提示:
8.2.2 优化反应物的当量
就如前面讨论的,减少反应底物的量可以减少投料时间、原材料消耗和废物排放。但是减少反应物的当量会导致反应时间的延长,因为最后的10% (或者更少)的起始原料转化为产品需要更长的时间。如表8.3所示的对甲苯磺酸的氯代反应。当H2O2:10的摩尔比从2.2 : 1提高到2.5 : 1时,转化率没有明显的提高,所以在规模化生产时就可能采用低当量的投料。


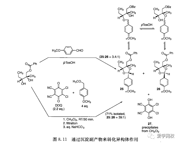
8.2.4对溶剂、助溶剂的优化
选择最合适的溶剂收率就会明显提高(第4章)。在合成酰肼15时,筛选了各种溶剂(图8. 8),使用极性较大的溶剂,收率会提高,可能原因就是该反应存在一个极性活性中间体。如果在平衡反应中某一组分能从反应体系中分

离出来,那么改变溶剂可对平衡反应进行优化。如图8.9 所示经过一系列反应以 80%的收率合成raloxifene 的中间体18,研究表明在热平衡状态下17 与18 的比值为10:90,在异化反应快完成时加正庚烷,中间体18 就会从反应体系中结晶出来,最终产品中17 与18 的比值为2:98图8.10 所示利用Michael反应以 90%的收率得到基酸类化合物 19在这个条件下,Michael 加成反应是可逆的,但是化合物 19 的非对映异构体在溶剂中是可溶的而19 是不溶的,这样就使反应能够不断进行。为了加速这两个非对应异构体的相互转化,作者多加了 0.1当量的手性胺。化合物 0 与 L-丙酸反应得到基酸 22,在这个反应中油状的 23 很不稳定,室温放置几天可以转化为 [22],或许加热可以更有效地使20和21 转化为22


提示:在平衡反应中要测试产品的稳定性。如果产品具有热力学性质,那就尝试不同的反应条件,从体系中结晶产品收率或许就会提高。

,故而优化反应浓度也许可以促进产物高收率、高纯度的分离。如果时间允许,改变反应的浓度也许会得到更加好的结果。例如图8. 12所示例子,在浓度为1. 5mol/L时,向腺嘌呤衍生物28滴加叔丁醇钠可以得到透明的溶液,但在0.8~1.0mol/L时钠盐29就会以粘稠物的形式沉淀出来。高浓度时形成溶液似乎不合情理,或许高浓度的29和副产品叔丁醇是溶解中间体的关键。

8.2.6改变底物和中间体
化学工作者可能会利用一些以前文献报道的方法通过改变底物和中间体来进行工艺优化。在合成ropinirole (罗平尼咯一种治疗帕金森氏症)时(图8.13),在化合物30上尝试了各种离去基团,都会得到消去反应的副产物31。但当对甲苯磺酰基取代的30与二异丙胺反应时就可抑制消去反应的发生以较高的收率得到ropinirole。

有时候在一组不同底物的类似反应中,反应结果会与预期结果不同。在这种情况下,一种明智的做法就是分析起始原料在结构上的差别,或许官能团影响了反应的转化方式。图8. 14中的例子:碳酸铯在化合物32进行芳基化反应中起关键作用[15]。叔丁醇钠在没有氰基取代的苯胺类化合物的反应中十分有效,但该反应使用叔丁醇钠只得到差不多30%收率,作者的解释是弱酸性的化合物33在强碱性的叔丁醇钠的存在下使催化剂失效了,但在碳酸铯不失效的条件下不会发生该情况。

通过加入适当的试剂来“调控”反应活性从而达到优化某些反应的目的。使用这种方法优化反应时,弄清反应的机理就显得尤为重要。在自由基引发剂AIBN的作用下对化合物34进行溴代反应(图8. 15),以较高收率得到吲哚类化合物35。而化合物36的制备过程中就不需要AIBNI[8]。在自由基引发剂VAZO-52的作用下对化合物37进行溴代反应,得到化合物38 (图8. 15)。自由基引发剂在不同的温度下会发生分解,所以需要根据不同反应温度下物的半衰期来选择合适的自由基引发剂。[AIBN和VAZO-52]
8.2.7优化催化剂和配体
催化剂和配体的选择及浓度关系到一个工艺的成败,需要大量的工作来进行此项优化,该问题将在第9章详细介绍。
8.2.8搅拌
对均相反应体系来说,搅拌通常不会有太大影响,但对于粘稠的反应体系或者非均相的反应体系(液- 液、固-液、气-液),搅拌的速率就会对反应速率有较大的影响。第9章和第13章会详细讨论这个问题。在规模化生产时搅拌问题同样非常重要,特别是

在结晶过程和转移浆状产品到过滤器的过程中(第11章)。
8.2.9延长搅拌时间的重要性
由于很多反应在规模化生产时,反应时间相应会延长,这就需要在实验室中考察反应条件来预测在规模化生产时出现的问题,如产品分解等,特别是在原料药的生产过程中一定要做这方面的工作。Enalapril (6,图8.4)在进行还原胺化的溶剂一一乙醇中相对稳定,当把还原后的混合物浓缩一部分后加人乙酸乙酯,然后加人马来酸来形成马来酸盐8。Enalapril 会以每小时1%的速率形成二酮哌嗪化合物(可能结构为9),所以要提高8的收率必须及时加人马来酸,防止其转化。
8.2.10考察其他操作条件
应该为其他的一些变量建立高效的操作条件,这些在以上研究中或许没有提到。这些条件包括反应的pH、氢化反应时的压强、在各个流程反应釜中的反应停留时间等。
总结:优化条件:温度、配比、浓度、溶剂助溶剂、底物与中间体、搅拌、反应时间、加料方法、压强、催化剂配体、PH