

【DT新材料】获悉,近日,商务部对两大化工新材料所使用的反倾销措施进行期终复审调查。

图片来源:商务部官网
1. 卤化丁基橡胶
(1)中文名称:卤化丁基橡胶(在《中华人民共和国进出口税则》中的名称为卤代丁基橡胶)。
(2)英文名称:Halogenated Butyl Rubber(Chlorobutyl Rubber,Bromobutyl Rubber)
(3)主分子结构式:

X为Br或Cl
(4)物理化学特性:卤化丁基橡胶是丁基橡胶与卤化剂反应的产物,是普通丁基橡胶的改良品。卤化反应包括氯化和溴化,因此,卤化丁基橡胶可分为氯化丁基橡胶与溴化丁基橡胶两类。卤化丁基橡胶产品形式为白色到浅琥珀色的胶块。卤化丁基橡胶具有硫化速度快、与其他不饱和橡胶的相容性好、自粘性和互粘性高等特点。
(5)主要用途:卤化丁基橡胶主要用于无内胎的气密层、耐热内胎、耐热软管和输送带、药用瓶塞、防震垫、粘合剂和密封材料等。该产品归在《中华人民共和国进出口税则》:40023910和40023990。
(6)事件回顾:此前在2018年8月10日,商务部发布2018年第40号公告,决定自2018年8月20日起对原产于美国、欧盟和新加坡的进口卤化丁基橡胶征收反倾销税。反倾销税率分别为美国75.5%,欧盟27.4%—71.9%,新加坡23.1%—45.2%,实施期限5年。
2023年6月19日,商务部收到浙江信汇新材料股份有限公司代表中国卤化丁基橡胶产业提交的反倾销措施期终复审申请书,其中山东京博中聚新材料有限公司支持申请。据资格审查后,调查机关认为,申请人的主张以及所提交的表面证据符合期终复审立案的要求。
(7)裁定结果:根据商务部建议,国务院关税税则委员会决定,在反倾销措施期终复审调查期间,对原产于美国、欧盟、英国和新加坡的进口卤化丁基橡胶继续按照商务部2018年第40号公告公布的征税产品范围和税率征收反倾销税。
(8)涉及企业:
美国公司:
1.埃克森美孚公司 75.5%
(Exxon Mobil Corporation)
2.其他美国公司 75.5%
欧盟公司:
1.阿朗新科比利时有限公司 27.4%
(ARLANXEO Belgium NV)
2.其他欧盟公司 71.9%
英国公司:
1.埃克森美孚化工有限公司 71.9%
(ExxonMobil Chemical Limited)
2.其他英国公司 71.9%
新加坡公司:
1.阿朗新科新加坡私人有限公司 23.1%
(ARLANXEO SINGAPORE PTE.LTD.)
2.其他新加坡公司 45.2%

2. 聚碳酸酯
(1)调查范围:原产于台湾地区的进口聚碳酸酯。
(2)被调查产品名称:聚碳酸酯。
(3)英文名称:Polycarbonate,简称PC。
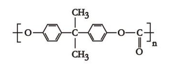
(4)结构式:

(5)物化特性:被调查产品是分子主链含双酚A型碳酸酯基结构的高分子聚合物,外观通常为透明的圆柱状或球形粒子或固体粉末,具有抗冲击强度高、加工性能好、透光率高、耐热及耐寒性好等性能。
(6)主要用途:聚碳酸酯可用于电子电器、板材/薄膜、汽车、光学、包装、医疗器械、安全防护等诸多领域。
(7)初步裁定:调查机关初步认定,被调查产品存在倾销,大陆聚碳酸酯产业受到实质损害,而且倾销与实质损害之间存在因果关系。
根据《反倾销条例》第二十八条和第二十九条的规定,调查机关决定采用保证金形式实施临时反倾销措施。自2023年8月15日起,进口经营者在进口各公司生产的被调查产品时,应依据本初裁决定所确定的各公司的保证金比率向中华人民共和国海关提供相应的保证金。
(8)涉及企业及征收的保证金比率:
1、台湾化学纤维股份有限公司 16.9%(FORMOSA CHEMICALS & FIBRE CORP.)
2、台湾出光石油化学股份有限公司 16.9%(IDEMITSU CHEMICALS TAIWAN CORPORATION)
3、奇美实业股份有限公司 17.0%(CHIMEI CORPORATION)
4、奇菱科技股份有限公司 17.0%(CHILIN TECHNOLOGY CO.,LTD.)
5、其他台湾地区公司 22.4%
(9)征收保证金的方法:自2023年8月15日起,进口经营者在进口原产于台湾地区的聚碳酸酯时,应依据本初裁决定所确定的各公司的保证金比率向中华人民共和国海关提供相应的保证金。保证金以海关审定的完税价格从价计征,计算公式为:保证金金额=(海关审定的完税价格×保证金征收比率)×(1+进口环节增值税税率)。
说明:本文部分素材来自于中华人民共和国商务部,由作者重新编写,本平台发布仅为了传达一种不同观点,不代表对该观点赞同或支持。如果有任何问题,请联系我们:dtmaterial (微信) 15355132586

