


本文对干熄焦工艺系统中工业装置管网的循环气体阻力计算方法进行研究,分别介绍了干熄炉、 一次除尘器、 锅炉、 二次除尘器、 热管换热器和连接管道内气流阻力计算方法,并讨论了干熄焦工艺系统各装置阻力计算方式的特点。结合干熄焦运行中的系统压力不稳定、局部焦炭漂浮、 排焦温度高和风机效率低等问题,介绍了几种改善方法,如设计上的料钟布料、 斜道区域优化和生产上调节布风和放散情况等。 将理论计算与实际问题的处理相结合,以阻力计算指导风机的选型和现场问题的调控,确保干熄焦工艺系统的稳定运行和节能环保绿色生产。
在国内能源短缺、环境污染状态下,为响应国家绿色生产政策的号召,近些年,国内焦化厂引进多种节能环保新技术。其中,干熄焦工艺技术因具有节能、环保及提高焦炭质量等优点,而备受炼焦生产企业的青睐。
干法熄焦(cokedryquenching,CDQ)是利用惰性气体将1000℃左右的红焦降温冷却,红焦从干熄炉顶装入自上而下运动,低温惰性气体由干熄炉底部鼓入自下而上运动。在干熄炉冷却段红焦层内,红焦被惰性气体逐渐冷却,温度降至250℃以下后由炉底排出。同时,惰性气体(或废烟气)被加热到800℃左右,从干熄炉斜道口经过一次除尘器后进入干熄焦锅炉,在锅炉中,水被热气流加热产生蒸汽,同时气体被冷却到180℃左右,再经二次除尘器由循环风机重新送入干熄炉内循环使用。
干熄焦工艺系统主要由红焦运输系统、装入装置、干熄炉、布风装置、排出装置、一次除尘器、锅炉、二次除尘器、循环风机和热管换热器等组成,干熄焦工艺气体循环系统的主要工业装置如图1所示。

1
系统阻力计算方法
系统阻力决定着干熄焦工艺运行各处压力分布情况,从而影响干熄焦的运行稳定性和生产经济性,通过阻力计算,更合理地确定循环风机型号,有利于稳定操作和安全生产。干熄焦工艺系统采用循环气体的闭路循环,系统阻力计算即为确定气体管道各结构单元的流体动力学阻力。按照惰性气体进入干熄炉后的流经顺序,由干熄炉内部(炉内送风装置-冷却段焦炭层-斜道-环形风道)→一次除尘器→锅炉→二次除尘器→循环风机→热管换热器进行计算。
1.1干熄炉内部
循环气体由干熄炉底部布风装置分别从中央和四周进入上方冷却区,经过焦炭床层至斜道附近,流股分流从周围斜道流至环形风道重新汇集,而后出环形风道离开干熄炉。此部分的阻力计算分为布风区、冷却区、斜道和环形风道区(以下简称气道区),公式计算结果单位Pa。
(1)布风区
布风装置由中央风帽和周边风环组成布风量依现场经验常按中央风帽:周边风环=6:4计算。同时,在阻力计算中,两部分等同于并联管路,布风装置的总阻力等于中央风帽阻力损失亦等于周边风环阻力损失。所以,在此仅需计算循环气体经过中央风帽的阻力损失,计算公式如下:

式中:ξ为风帽阻力系数,可取10~25;ρ为气流工况平均温度下的密度,kg/m3(按热风温度查取);v为气流工况下实际流速,m/s。其中,风帽阻力系数可通过实验和数值模拟得到,任中等曾利用实验装置对集中风帽的阻力系数进行实验研究,结果表明不同风帽的阻力系数有一定差异,宋波等曾对干熄炉内中央布风的风帽布风采用计算流体力学商业软件进行数值模拟,研究了椭圆、高和低三种风帽阻力系数。
(2)冷却区
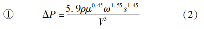
循环气体在冷却区内的阻力计算,主要是求取气体流经每米焦炭层的压力损失,相关经验公式如下:

式中:μ为气流动力粘度,m2/s;ω为标况下气体的空炉流速,m/s;s为料层自由流通截面积,m2;V为单位容积焦炭层内空隙容积,m3/m3,所计算的阻力与焦块平均直径、填充系数和焦炭颗粒间气道当量直径有关,受焦炭颗粒尺寸和布料情况影响。

式中:λ为阻力系数,与雷诺数有关,湍流和层流有所不同,de为焦炭颗粒之间所形成的气道当量直径,m;ε为填充系数,可取0.4其中;de取决于焦块形状系数、填充系数和焦块平均直径,此公式由H.M.雅瓦良柯夫提出,计算得到的工业装置循环气体流经每米焦炭层时阻力为363Pa。

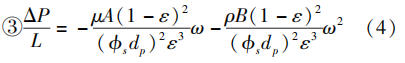
式中:L为床层高度,m;A,B为Ergun常数,ε为床层填充系数;ϕs为形状系数,取0.2-0.4,dp为颗粒直径,Ergun常数A,B对于流体(如CO2、N2、CH4和H2等)通过各种大小的球、沙子及研磨的炭粒可分别取为150和1.75(由640次实验总结得到)。由于Ergun公式主要适用于球形颗粒、细沙和细炭粒等,对于非球形颗粒的计算存在误差。宋波等人运用CFD商业软件对实验干熄炉冷却段焦炭床层的压降进行了数值模拟,得出结论,当实际焦炭作为介质时,A值的影响可以忽略,B值修正后宜取2.0-2.2。
④根据前苏联国立焦化设计院资料中干熄焦装置的实际操作数据,循环气体在焦炭层中的流动阻力系数为286,对应的干熄炉阻力为2000~3000Pa。此经验数据,随着干熄炉近几十年的发展,应用于目前的干熄炉工程偏低,误差相对较大。
(3)气道区
气道包括斜道和环形风道两部分,可根据流体力学在管网内流动阻力计算方法,分别计算出各环节的沿程阻力损失和局部阻力损失。求沿程阻力损失时,需根据沿程阻力损失系数、流经管程和流通截面面积来计算。求局部阻力时,需根据气体流速、断面情况和分流汇流等,查局部阻力系数表获得局部阻力系数。其中,斜道区的阻力计算,需要考虑斜道入口附近的焦炭堆积,气体通过此段焦炭层的阻力损失是斜道区气体阻力损失的主要部分。环形气道部分的阻力计算,可视作管路,按照气体流经管路的局部阻力损失计算,局部阻力系数可通过数值模拟和工业试验获得。
1.2一次除尘器
干熄焦工艺系统中一次除尘器主要分离粗颗粒焦粉,多采用中间挡墙的重力除尘装置。从干熄炉出来的气体流经一次除尘器,气体可绕过挡墙由一次除尘器右端流入干熄焦锅炉内,大颗粒焦粉则由一次除尘器底部抛出。此部分的气体阻力计算,可将一次除尘器视为异型管路,公式如下。

式中:ξ′为一次除尘器阻力系数;L′为一次除尘器总长(横向长度),m;d′为一次除尘器沉降深度,m。一次除尘器阻力系数,可通过实验和数值模拟得到,根据现场经验,气体在一次除尘器的阻力损失一般不大于300Pa。
1.3锅炉、二次除尘器和热管换热器
干熄焦锅炉、二次除尘器(主要分离细颗粒焦粉,多采用旋风除尘装置)和热管换热器,可根据设计资料计算气体阻力。一般情况下,干熄焦锅炉气体阻力损失不大于900Pa,二次除尘器的不大于1250Pa,热管换热器的不大于800Pa。
1.4连接管路
干熄焦工艺各工业装置之间由管路进行连接,主要有锅炉和二次除尘器之间、二次除尘器和风机之间、风机和热管换热器之间的管路。管路内气体阻力损失按照气体流体动力学理论计算,由气体流经管路的具体情况确定,需要注意连接的非常规非规则的管段近似计算,计算公式如下。

式中:k为阻力系数。
1.5循环风机
根据系统各环节的阻力计算结果,以预存室装焦孔处压力值-30~-50Pa为参考压力,推算出系统各点的压力值,获得风机前后的压力大小。
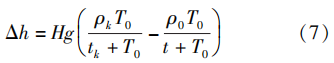
推算压力大小,需要考虑上气体流动过程和干熄炉预存段的热浮力,即当循环气体上升时,计算阻力减去浮力的差值,当循环气体下降时,求取阻力和浮力的加和,浮力计算公式如下:

式中:H为高度差,m;ρk为气体在大气温度下的密度,kg/m3;tk为大气温度,℃;g为重力加速度,9.8m2/s。
循环风机前后的风压取决于系统阻力,风机总风压由阻力计算得到的风机吸入口和排出口压力来确定,其设计值可在计算基础上乘以一定的富裕系数。
2
系统压力调控方法
干熄焦工程运行中,由于焦炭质量的差异和炉内布料等实际情况,系统会出现预存段压力波动、局部焦炭漂浮和排焦温度高等问题。可以通过以下几种方法进行调控。
2.1设计上
(1)调换料钟
干熄焦的装入装置多采用料钟式布料器,料钟位于装入装置料斗的下部。合适的料钟规格和安设位置,有助于焦炭颗粒更均匀地进入干熄炉内,防止装入焦炭粒径偏析和料位高差大,从而保证循环气体在干熄炉内的换热效果和排焦温度的均匀。同时,适合的料钟大小及调整安设位置高度,可以改善焦炭在炉内的分布,减少循环气体量,尤其是在焦炭质量较差的情况下。
(2)斜道区优化
干熄炉内斜道区域,循环气体流速较大,是最容易发生焦炭浮起的地方。斜道主要是将与红焦对流换热后的循环气体引入上方环型风道,斜道上设置调节砖保证气流分流的分配均匀性。一旦斜道区出现浮焦,焦炭就会堵塞斜道,造成循环气体系统各处压力的异常,严重会影响干熄焦的正常生产。尤其是焦炭堵塞严重时,可适当调整局部调节砖数量来改善气流的分布情况,减缓流速。同时,可采用双斜道替代传统单斜道设计,降低焦炭在斜道上的堆积高度,改善焦炭浮起的问题。
2.2生产上
(1)调节布风
当炉内焦炭存在偏析现象时,需合理调整干熄炉内循环冷却气体的分配比例,可适当地调整中央风帽和周边风道的阀门开度,从而改善气流的分布,当系统运行出现问题时,需调节风机以严格控制循环风量的增加速度,使循环风量与排焦量相匹配,改善炉内换热效果和系统压力。
(2)调节空气导入和放散气体量
当系统出现压力不稳定时,可通过调节空气导入量和风机后放散量,在一定时间内调控系统压力,稳定系统的运行。
3
结语
干熄焦工艺系统中工业装置管网的循环气体阻力计算方法有两种。一是基于流体力学基础的阻力计算,包括沿程阻力损失和局部阻力损失,其中阻力系数的确定可根据工业试验得到,二是结合数值模拟的仿真计算,常采用CFD等模拟软件,依据设计结构参数和运行工艺参数进行模拟,得到气体的压降和阻力结果,可利用模拟的结果。来修正通过理论计算和工业试验得到的经验(计算)公式,将二种方法结合起来运用,得到更贴近实际的结果,对于干熄焦工程运行时的诸多问题,可通过调节焦炭进入炉内的料层分布、循环气体分配均匀性和风料比等方式(如改善料钟和斜道设计,调节布风、空气导入量、放散量等),来调控系统压力分布。









