返回
医疗保健
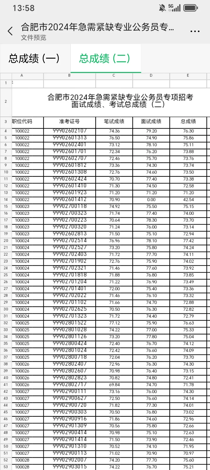
看完安徽急需紧缺gwy 体检名单瞬间来劲儿了
2025-11-09 23:09
看完安徽急需紧缺gwy 体检名单瞬间来劲儿了
#安徽急需紧缺专项公务员
#安徽公务员
#安徽急需紧缺公务员考试
#公务员体检
打赏
发表评论
0评