
















仪器分析测试的笔记来啦!?
p2 各个仪器的名称与英文简写
p3 高效液相色谱与气相色谱,速率理论与塔板理论
p4 原子发射光谱AES,原子吸收光谱AAS
p5 红外光谱与拉曼光谱,质谱仪
p6 DSC的应用实例:蓝宝石比热法测定比热容
p7 DSC的原理,仪器结构,影响因素,应用
p8 DSC的影响因素举例
p9 DSC和TGA:设计实验观察草酸钙的分解过程
p10 X射线单晶衍射仪
p11 XRD:阳极靶的选择,滤光片的选择
p12 荧光光谱
p13 光学显微镜与电子显微镜,荧光光谱避免拉曼和倍频的干扰
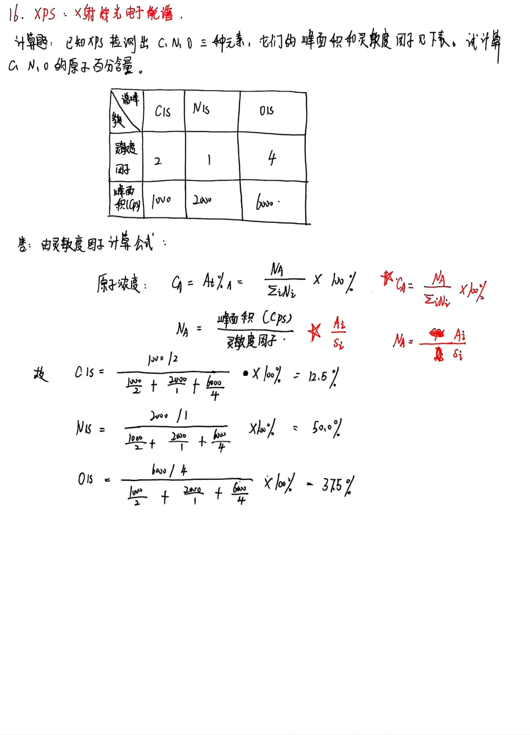
p14 XPS的原子百分含量计算
p15 SEM,EDS,TEM,NMR
p16 NMR化学位移的影响因素,XPS,EDS
p17 显微镜、瞬态发射光谱与瞬态吸收光谱
#化学 #实验室仪器
p2 各个仪器的名称与英文简写
p3 高效液相色谱与气相色谱,速率理论与塔板理论
p4 原子发射光谱AES,原子吸收光谱AAS
p5 红外光谱与拉曼光谱,质谱仪
p6 DSC的应用实例:蓝宝石比热法测定比热容
p7 DSC的原理,仪器结构,影响因素,应用
p8 DSC的影响因素举例
p9 DSC和TGA:设计实验观察草酸钙的分解过程
p10 X射线单晶衍射仪
p11 XRD:阳极靶的选择,滤光片的选择
p12 荧光光谱
p13 光学显微镜与电子显微镜,荧光光谱避免拉曼和倍频的干扰
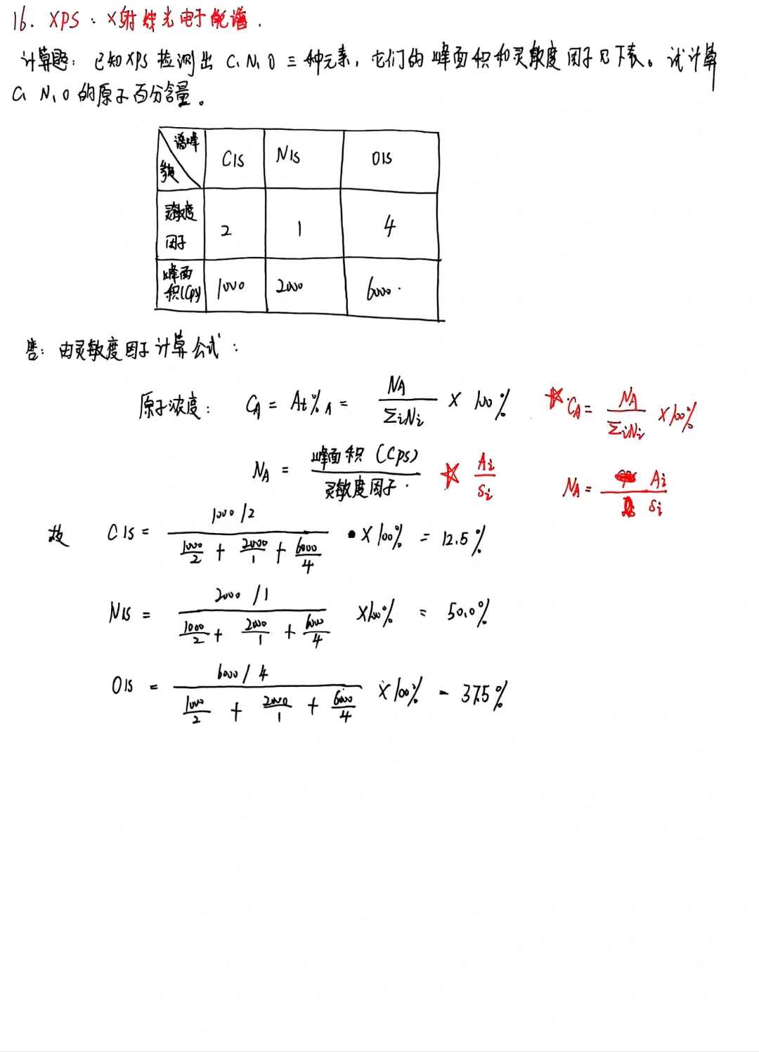
p14 XPS的原子百分含量计算
p15 SEM,EDS,TEM,NMR
p16 NMR化学位移的影响因素,XPS,EDS
p17 显微镜、瞬态发射光谱与瞬态吸收光谱
#化学 #实验室仪器