




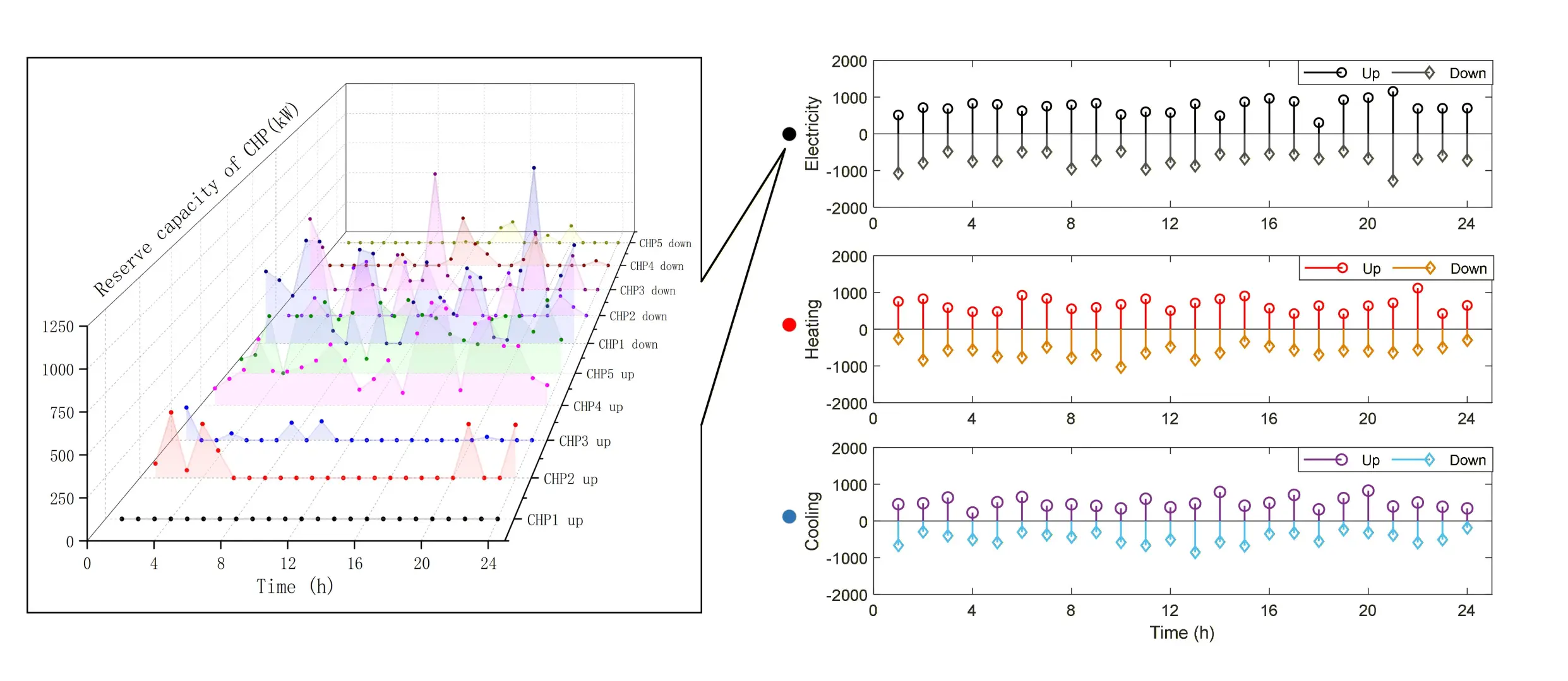
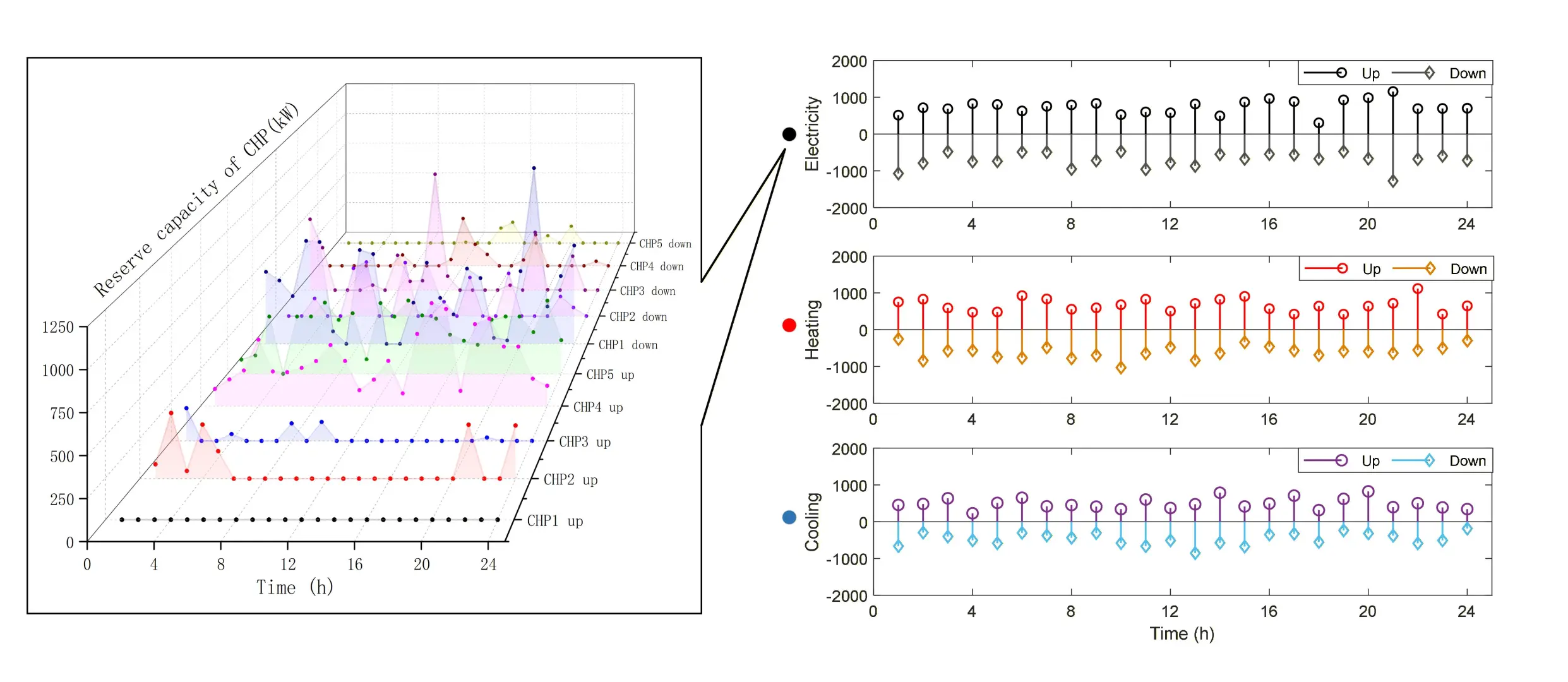
随着能源转型的深入推进,能源利用方式正由单一能源向多能互补、综合利用转变,整体能源效率持续提升。然而,能源系统运行的多元化趋势也带来了电源结构、负荷特性及市场价格等方面的不确定性,显著增加了系统优化与调控的难度。针对这个问题,本文构建了综合能源系统(IES)日前和实时两阶段风险经济优化模型。第一阶段旨在确定日前预调度方案,安排可再生能源的输出功率以及可调节设备的备用容量。第二阶段旨在确定实时期望调整方案,通过调用备用、削减可再生能源出力、实施综合需求响应、调控储能来应对功率偏差。为了量化电源、负荷、价格等多重不确定性的风险,基于条件风险价值理论(CVAR)将实时阶段目标函数进一步改进为经济风险均衡形式。最后,引入辅助变量将模型转化为混合整数线性规划问题,仿真结果表明:所提模型实现了各类能源在不同时间尺度的优化配置,缓解系统备用压力。研究按照不同置信水平将风险态度划分为五个等级,为持有不同风险态度的管理者提供决策依据和参考信息。
原文链接:https://doi.org/10.1016/j.energy.2022.125783
引用格式:Fan W., Tan Z.F., Li F.Q., et al. A two-stage optimal scheduling model of integrated energy system based on CVaR theory implementing integrated demand response[J]. Energy, 2023, 263, 125783.
#综合能源系统 #两阶段优化 #条件风险价值理论
原文链接:https://doi.org/10.1016/j.energy.2022.125783
引用格式:Fan W., Tan Z.F., Li F.Q., et al. A two-stage optimal scheduling model of integrated energy system based on CVaR theory implementing integrated demand response[J]. Energy, 2023, 263, 125783.
#综合能源系统 #两阶段优化 #条件风险价值理论