

由于与生物系统中的压力敏感离子通道高度相似,由电力和机械力共同驱动的通过纳米结构的离子传输引起了越来越多的关注。先前的研究仅报道了压力诱导的低渗透系统如纳米管、纳米狭缝或单纳米孔中离子电导的增强。这种增强通常由低渗透系统中电容效应引起的离子积累来解释。在这里,作者制作了一个高渗透性的COF单层膜来研究由电力和机械力驱动的离子传输行为。我们的结果显示了由外部机械力激活的异常电导降低,这与在低渗透性纳米孔或通道中观察到的电容效应主导的电导增强相反。通过模拟,作者发现了一种独特的电气-机械相互作用机制,这种机制取决于离子从边界层扩散到膜表面和离子通过膜传输之间的相对速率。COF单层膜的高孔隙密度减少了由电容效应引起的电荷积累,导致膜表面附近积累的离子更少。此外,高的膜渗透性极大地加速了累积离子在机械压力下的消散,削弱了电容层对流动电流的影响。因此,离子聚集在电极上,而不是电容层中,主导流动电流,并产生与低渗透性纳米孔或通道中不同的电气-机械相互作用机制。我们的研究为超渗透系统中电和机械力之间的相互作用提供了新的见解。

Figure 1. Schematic illustration of the electrical–mechanical coupling mechanism in an ultra-permeable COF monolayer and low-permeable individual nanopores in a graphene membrane. (a, b) Simulated structure of the H2TPP-COF monolayer membrane via density functional theory calculations. (c) Schematic illustration of ion accumulation and transport by the electric field (c, e) and coupled electric field and mechanical pressure (d, f) in a highly permeable COF monolayer (c, d) and low-permeable single nanopores in graphene (e, f). In the highly permeable COF monolayer, minimized charge accumulation occurred on the surface of the membrane (c), and the pressure-induced streaming current was dominated by the EDL (d). In low-permeable graphene nanopores, significant charge accumulation occurred due to the capacitive effect (e), and the pressure-induced streaming current was dominated by the capacitive layer. The EDL in (c–f) refers to the electrical double layer.

Figure 2. Morphological and electrochemical characterization of the H2TPP-COF monolayer membrane. (a) AFM image and corresponding height profile of the H2TPP-COF monolayer. (b, c) STM topography photographs of the H2TPP-COF monolayer on a highly oriented pyrolytic graphite substrate. Insets: corresponding fast Fourier transform images. (d) Conductance comparison of the H2TPP-COF monolayer and the SiNx substrate under different KCl concentrations. (e) Typical streaming current of the H2TPP-COF membrane in 0.1 M KCl in the absence of the electric field. (f) Streaming current as a function of the pressure intensity in KCl solutions of different concentrations.

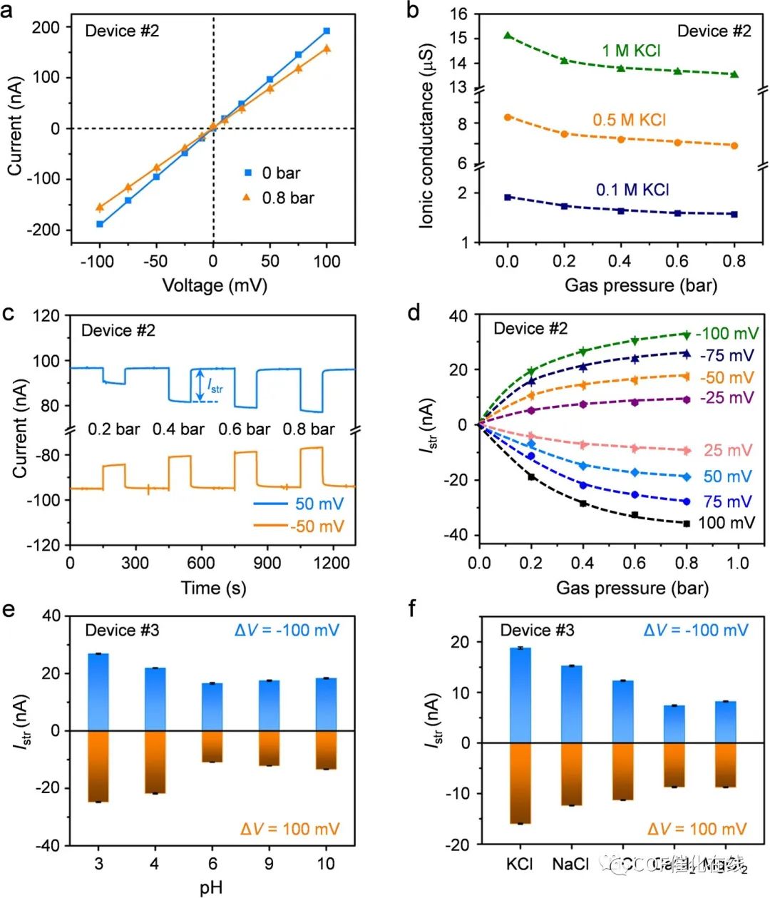
Figure 3. Anomalous electrical and mechanical interplay on the ion transport through the H2TPP-COF monolayer. (a) Typical pressure-dependent current–voltage curves of the H2TPP-COF monolayer membrane in a 0.1 M KCl solution. (b) Membrane conductance as a function of external pressure in KCl solutions of different concentrations. (c) Representative streaming current produced by external pressure under voltages of 50 and −50 mV in 0.1 M KCl. Negative (positive) streaming current was observed under positive (negative) voltage, showing that the mechanical forcing tends to “close” the ion transport across the H2TPP-COF monolayer. (d) Streaming current as a function of gas pressure intensity under various voltage bias ranging from −100 to 100 mV in 0.1 M KCl. Streaming current at different pH values (e) and in various salt solutions while maintaining a fixed concentration of Cl– at 0.1 M (f).

Figure 4. Poisson–Nernst–Planck (PNP) modeling of the ion transport through the H2TPP-COF monolayer driven by the coupled electric field and mechanical forcing. Time-dependent distribution of the net charge carriers (a–c) and the corresponding potential (d–f) upon the application of the coupled transmembrane voltage and pressure drop. (g, h) PNP calculation of the transmembrane ion current (g) and the streaming current (h) across the H2TPP-COF monolayer as a function of pressure intensity.
https://pubs.acs.org/doi/full/10.1021/jacs.3c04655