返回
仪器仪表
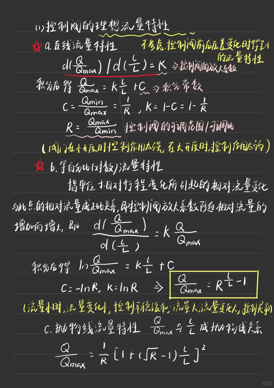
化工仪表及自动化第五章笔记
2025-11-02 13:15
化工仪表及自动化第五章笔记
#化学笔记
#笔记
#化工
#化工仪表
#化工仪表及自动化
#化工仪表及自动化第六版
#过程控制
#努力成为更好的自己
打赏
发表评论
0评