

解析下滑
根据有功功率求解公式P=UIcosθ,其中总电压有效值为50伏,总电流的阻值为0.5A,有功功率为15W,可以求解出功率因数为0.6,因为题目为容性,也是功率因数角为-53.1°,根据阻抗三角形与功率三角形,功率因数角等于阻抗角。因此总电阻的阻抗角也是-53.1°。
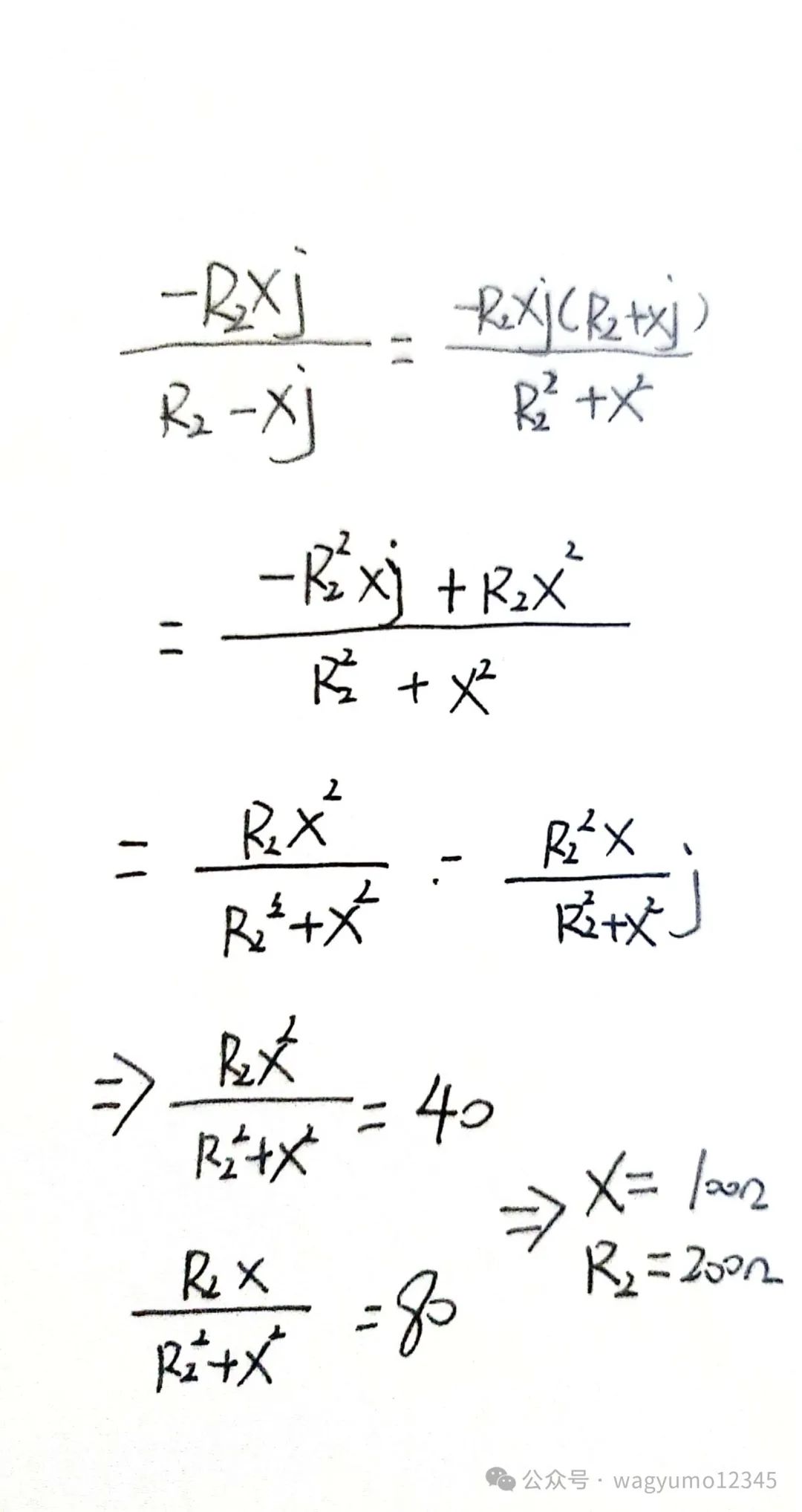
本题求解的是电阻R2阻值与电容C的比值,可以求出总阻抗为,电压等于50∠0°,电流0.5∠53.1°,的比值,为总阻抗60-80j欧姆,去掉外部阻抗20欧姆,所以并联部分的阻抗为40-80j欧姆。
于是

然后求出了电阻R2,电容阻抗X,根据电容的阻值很容易求出电容的C,别忘了的单位。


感谢阅读,如果您认同这篇文章,烦请点亮右下角的“赞”和“在看”,并“分享”给更多人。在此感谢!