



摘要:
真丝服装以其独特的光泽、柔软和魅力一直在时尚市场中占据着重要地位。然而,此类织物在日常护理中存在困难并且在洗涤后往往视觉感受变差。为此,松下在2021年推出了一种以上下轻压、真空脱水为特征的新型洗涤模式,以解决普通家庭洗涤方式对真丝服装的机械损伤问题。本研究通过与手洗、轻柔机洗和正常机洗进行比较,研究了压洗模式对真丝服装在常见家庭洗涤场景下外观和机械性能的影响。实验结果表明,在外观指标和弹性恢复方面,压洗表现最佳,尤其是在重复洗涤的情况下,由于在洗涤过程中纤维损伤和表面降解最少。同时,考虑到消费者的个人感受,对洗涤后的样品进行感官评价,在一定程度上进一步验证了仪器测试结果。本研究获得的结果可以为后续研究和应用提供科学的护理指导和优化思路。
关键词:真丝服装;压洗;外观性能;机械性能;仪器测试;感官评价



图1 压洗的洗涤流程
表1 KES-F测量的真丝服装的低应力力学性能



图2 未清洗以及经过 1 次和 10 次循环洗涤的样品的整体外观和 2000 倍放大倍率下的显微图像

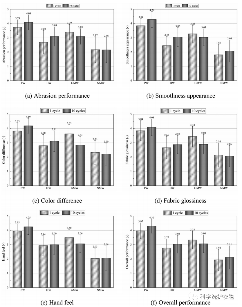
图3 四种不同方法洗涤1次和10次洗涤后样品的感官评价结果

图4 基于标准化数据的仪器和感官测试结果的比较


学术论文 | 含偶氮染料-VD的液体洗涤剂预处理织物时色差风险评估
学术论文 | 封闭箱式蒸汽熨烫参数对织物护理效果的影响研究
学术论文 | 过热水蒸气处理对天然纤维织物白度损失的实验研究和热扩散系数分析
学术论文 | 日常洗护对衣物色彩稳定性的影响
学术论文 | 基于烘干过程优化的家用烘干机能源效率提高方法
学术论文 | 基于纳米结构活性水离子去除纺织品异味的新方法
学术论文 | 基于纳米结构活性水离子改善针织羊毛织物抗起球性能的新方法
学术论文 | 基于纳米结构活性水离子的纺织材料创新和可持续的多功能整理方法
学术论文 | 家庭滚筒洗涤对羽绒制品服用性能影响评测
学术论文 | 基于双目立体视觉特征的织物3D重建
学术论文 | 波轮洗衣机洗涤参数、织物运动与起皱机理的关系研究
学术论文 | 滚筒干衣机烘干过程中羊毛织物含水率对烘干收缩率的影响
学术论文 | 滚筒洗衣机洗涤过程转速和水量对织物运动的影响研究
学术论文 | 家庭滚筒洗衣机脱水转速对纯棉衬衫外观性能的影响研究
学术论文 | 基于JMP软件中定制设计的纯棉和纯毛织物熨烫参数优化对比研究
学术论文 | 家庭滚筒洗衣机洗涤温度对机织物外观平整性的影响
学术论文 | 柔顺剂在棉织物家庭洗涤中的作用:低应力力学性能研究
学术论文 | 棉织物在滚筒洗衣机中起皱的机理:机械作用的影响

