《棉纺织技术》2024年1月(第52卷,总第627期)火热发售中,欢迎订阅。
订阅方式:
1.在线订阅点击:订杂志
2.拨打订阅热线:029-83553571
空压机在纺织厂中的应用直接影响到产品的生产效率与质量。对于大多数纺织企业而言,生产压缩空气的过程能源消耗巨大,占纺织企业能源消耗的30%以上,且一般空压站内有很多空压机组,机组运行时会产生大量的热。虽热量大部分由冷却水带走,但剩下部分散热量仍然很高,使得空压机附近温度升高,机组工作条件恶劣。所以,空压站室内温度的高低对于空压机来说尤为重要,如何解决空压站的散热问题就显得极为关键。近年来,越来越多的学者对工作环境内通风散热问题做了很多研究。例如,刘权等使用CFD方法对空压站原通风方案进行数值模拟,在原通风方案基础上,探讨了3种改变进风口、排风口位置及面积的改进方案对空压站通风散热的影响,得出了空压站通风散热的优化设计方案;张卓等通过使用CFD方法对宝鸡某发电厂空压机房模型进行数值模拟,分析不同的送风角度、送风速度等对空压机降温效果的影响,得出空压机房最佳优化方案。
本研究通过对陕西咸阳某纺织厂进行实地调研,发现现有的送风方案无法对空压机组进行有效的冷却降温。为此,在夏季测试了目前空压站内的温度和风速分布情况,借助CFD数值模拟作为辅助手段。利用理论计算得出该空压站送风所需的最大风量,进而确定各个出风口的送风速度;用CFD来分析在最大风量下的速度场及温度场;在此基础之上进行对比分析,对该空压站的通风降温系统进一步优化。
1 纺织厂空压站实地调研
1.1 空压站概况
本研究以陕西咸阳某纺织厂空压站作为研究地点,该空压站占地面积为2 016 m2,高度为7 m。空压站共有阿特拉斯(Atlas)公司的5台离心式空压机和6台螺杆式空压机统一生产压缩空气,可以满足该纺织厂三个分厂的用气需求。在夏季,为解决空压站内环境温度过高,保证设备的正常运行,该空压站采用组合式空调机组对室外新风进行过滤、冷却处理后,将低温空气通过风管送至空压站侧墙上方的送风口,以侧送风方式送入站内进行冷却降温。空压站布置如图1所示,送风口如图2所示。
图1 空压站设备布置图
图2 空压站送风口1.2 实测分析
测试空压站现有通风系统的送风量、风速、温度、相对湿度等参数,测得高度2 m处空压机吸入口附近的温度为41.7 ℃,发现室内温度过高。认为经组合式空调机组处理过后的纺织厂原有通风方案无法对空压机组进行有效的冷却降温。
为了调研空压站送风方案的降温效果,在空压机厂房内高度Z=6.1 m截面处布置测点,利用温湿度测量仪、叶轮风速仪进行测试并记录数据。测出空压站送风口1~送风口8的风速分别为7.5 m/s、7.8 m/s、7.8 m/s、7.9 m/s、8.0 m/s、8.0 m/s、8.2 m/s、8.3 m/s,每个送风口尺寸均为1.5 m×0.6 m,可以算得空压站的总风量为(7.5+7.8+7.8+7.9+8.0+8.0+8.2+8.3)×1.5×0.6= 57.15(m³/s)=205 740(m³/h)。
为分析空压站送风降温系统的实际运用效果,共在空压机房内布置6个测点(如图1所示),A测点与西墙相距6 m。A、B、C、D、E、F各测点相隔3 m,其温度分布均匀,变化不大,各测点测试数据如表1所示。

2 模型建立与模拟分析
2.1 数学模型
本研究采用三维、非稳态数学模型对空压站内流体进行分析计算,空压站内气流以湍流形式流动。在该通风散热模型中,气流流动满足连续性方程、动量方程、能量方程,并以标准的k⁃epsilon模型和离散坐标(Do)辐射模型进行计算。最后设置收敛标准,初始化后设置迭代步数进行计算,达到收敛。根据不同运行情况进行模拟,分析空压站内速度场和温度场情况。
2.2 几何模型与网格划分
本研究根据建筑尺寸通过建模软件Solidworks建立几何模型,根据几何模型导入到软件Fluent中对纺织厂空压站内进行通风数值模拟研究,图3为几何模型的轴测图,图中X(-25.2 m~25.2 m)为长度方向,Y(-20 m~20 m)为宽度方向,Z(0 m~7 m)为高度方向。在西侧墙体处设有8个方形送风口(0.6 m×1.5 m),北侧墙体有6个圆形排风口(直径为0.55 m),靠北侧墙体放有5台离心式空压机,中间设有6台储气罐,靠南侧有6台螺杆式空压机。
图3 几何模型轴测图
图4 空压站截面速度分布图(Z=6.1 m)
图5 空压站截面温度分布图(Z=2 m)
表3 温度场对比表 ( ℃ )

3 计算分析
3.1 纺织厂空压站送风量理论计算
空压机房内的热量基本来自于空压机。由于空压机房现场操作人员很少,且仅在操作机器的时候短暂停留,不会长期滞留在空压机房内,在计算送风量时可以忽略人员产生热湿负荷的影响。该机房内共有5台离心式空压机,6台螺杆式空压机。但在夏季空压站正常运行时,6台螺杆式空压机常处于关闭状态,所以只考虑5台离心式空压机的散热。ZH15000型离心式空压机主要参数:功率1 430 kW,压缩机轴功率972.4 kW,压缩机总功率1 215.5 kW。
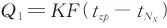
(1)外墙、屋顶传热形成的冷负荷Q1以及窗户传热形成的冷负荷Q2。可根据公式
、
得出,考虑到对于空压站这种室温允许波动范围大于或等于±1.0 ℃的空调区,根据GB 50736—2012《民用建筑供暖通风与空气调节设计规范》,可近似按照稳态传热计算。其中,
为夏季空气调节室外计算日平均综合温度,取30.7 ℃。计算得到Q围=Q1+Q2=13.5(kW)。
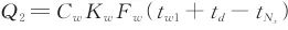
(2)室内热源造成的冷负荷。根据公式热流量
=台数×94%×压缩机轴功率+(压缩机总功率-压缩机轴功率)得出,
,而对于空压站离心式水冷型空压机组,压缩产热大部分(约90%)已被冷却水带走,只有10%热量仍留在室内,且空压站内共有5台离心式空压机,可得
。则
。
(3)送风量的计算。已知该空压站现有8个送风口,其尺寸为1.5 m×0.6 m,送风温度23 ℃,相对湿度90%,对于空压站来说,室内温湿度控制要求不严格,可选用较大的送风温差。取送风温差Δt=9 ℃,室内温度32 ℃,相对湿度50%,在焓湿图上可查得室内焓值hn=70.49 kJ/kg,送风口焓值ho=63.64 kJ/kg,送风量
;空气密度取ρ=1.2 kg/m³,则送风量的体积流量为
,送风口的送风速度为
。
3.2 CFD模拟分析
由前面计算出的理论所需送风量,进而计算出送风口的最大出风速度,将其作为一个边界条件,并将门窗取为自由出流;地面取为绝热面;屋面、外墙取为一个恒定温度。另外,由前面实测数据模拟出的温度场(图5)可以看出,其未能对空压机组进行一个有效降温。考虑到送风口位置过高,空气送往室内的过程中,气流下沉很慢,冷空气无法到达距机组吸入口较近的位置,所以将送风口适当往下调1 m,其模拟结果如图6所示。
图6 空压站截面速度分布图4 系统优化研究
4.1 优化前后对比分析
由前文可以得出空压站理论计算所需送风量为259 320 m³/h,大于空压站实际送风量205 740 m³/h。根据空压站内空压机组布置情况选取了合适的截面分析室内速度场和温度场。
将优化前后的速度场作比较,如图4、图6所示。由于送风量的差异以及送风高度的影响,理论送风时送风距离较长,基本可以覆盖整个空压站。而实际送风过程中,送风距离较短,冷空气无法到达后几台空压机组。
将优化前后的各测点温度进行比较,如图7所示。可以看出,各测点优化后的温度相比于优化前的温度显著减小。计算可得优化前的温度不均匀系数为0.574,优化之后的温度不均匀系数为0.677,优化后的效果比较好,能够对纺织厂空压站进行一个较好的通风降温。
图7 各测点风速对比图4.2 节能运行探究
考虑到使用空调这种方法太耗费电能,企业也只有在特别炎热的夏季会使用。所以拟采用在夏季通过开启组合式空调室对空压站进行降温,在冬季以及过渡季节通过直接引入室外新风对空压站进行通风降温,从而达到降低车间整体温度的效果,这对降低空压机组的能耗,使其更加节能运行提供了方法,也为纺织企业空压系统的节能改造提供一定的参考价值。拟采用的技术方案如图8、图9所示。
图8 拟改造后的通风降温方案(局部图)
图9 拟改造后的通风降温方案(布置图)


棉纱上涨信心强劲!纺企部分原料调涨三百元,春节或要加班加点?

部分素材来源于互联网 如有侵权请联系删除 转载请务必注明来源
商务合作:柴经理 029-83553552
加群联系:小叶 029-83553543
梭子讲堂-小新(微信:suozi01)
课程咨询:Cindy 029-83553548
转载联系:沙沙 029-83553548
稿件查询:李编辑 029-83553538



