4.1 Conformation Analysis of Alkanes
4.1 烷烃的构象分析
4.1.1 Conformation 4.1.1 构象
At a molecular level, a property of σ (sigma) bonds in alkane is that the bonds keep on rotating. For the example of ethane (CH3CH3), one methyl (CH3) group is able to rotate around the C-C bond freely without any obstacles.
在分子水平上,烷烃中 σ (sigma) 键的一个特性是键不断旋转。以乙烷(CH 3 CH 3 )为例,一个甲基(CH 3 )可以围绕C-C键自由旋转,没有任何障碍。
It is highly recommended that the molecular model is used here to “see” the bond rotation. With a molecular model on hand, you can hold one methyl group steady, and rotate the other methyl group.
强烈建议在这里使用分子模型来“查看”键旋转。有了现有的分子模型,您可以稳定地保持一个甲基,并旋转另一个甲基。
The C-C bond is formed by the sp3-sp3 orbitals overlapping and the bond is cylindrically symmetrical, so rotation about the bond can occur easily and the molecule does not seem to change. However, a closer look indicates that the rotation of the C-C bond does result in a different spatial arrangement of hydrogen atoms in the molecule, as shown below:
C-C键是由sp 3 -sp 3 轨道重叠形成的,该键是圆柱对称的,因此很容易发生绕键的旋转,并且分子似乎没有变化。然而,仔细观察发现,C-C键的旋转确实导致了分子中氢原子的不同空间排列,如下所示:

Figure 4.1a Two conformers of ethane in perspective formulas
图 4.1a 透视公式中乙烷的两个构象异构体
The different spatial arrangements of the atoms/groups that result from the single bond rotation are called conformations. Molecules with different conformations are called conformational isomers or conformers. The two extreme conformations of ethane coming from the C-C rotation shown above are: the staggered conformation with all of the H atoms spread out and the eclipsed conformation with all of the H atoms overlapped.
由单键旋转产生的原子/基团的不同空间排列称为构象。具有不同构象的分子称为构象异构体或构象异构体。上面显示的来自 C-C 旋转的乙烷的两种极端构象是:所有 H 原子展开的交错构象和所有 H 原子重叠的重叠构象。
In the study of conformation, it is convenient to use certain types of structural formulas. The formula used in the drawing above is the perspective formula (see section 2.1.1) that shows the side-view of the molecule. In perspective formulas, solid and dashed wedges are used to show the spatial arrangement of atoms (or groups) around the sp3 carbons.
在构象研究中,使用某些类型的结构式是很方便的。上图中使用的公式是显示分子侧视图的透视公式(参见第2.1.1节)。在透视公式中,实线和虚线楔形用于显示 sp 3 碳周围原子(或基团)的空间排列。
Another structural formula is the sawhorse formula which shows the tilted top-view of the molecule.
另一个结构式是锯木架式,它显示了分子的倾斜顶视图。

Figure 4.1b Two conformers of ethane in sawhorse formulas
图 4.1b 锯木架公式中乙烷的两种构象异构体
The most commonly applied formula in conformation analysis is the Newman projection formula.
构象分析中最常用的公式是纽曼投影公式。

Figure 4.1c Two conformers of ethane in Newman projections
图 4.1c 纽曼投影中乙烷的两个构象异构体
How to draw a Newman projection
如何绘制纽曼投影
To draw a Newman projection, we will imagine viewing the molecule from one carbon to the next carbon atom directly along a selected C–C bond, as shown below, and follow the rules:
为了绘制纽曼投影,我们将想象直接沿着选定的 C-C 键从一个碳原子到下一个碳原子的分子,如下所示,并遵循规则:
Figure 4.1d Viewing of the molecule
图 4.1d 分子视图
The front carbon atom is shown as a point with three other bonds:
前面的碳原子显示为带有其他三个键的点:

The rear carbon atom is shown as a circle with three other bonds:
后面的碳原子显示为带有其他三个键的圆圈:

Put the two carbons together to get the Newman projection of the staggered conformation:
将两个碳放在一起即可得到交错构象的纽曼投影:

From the staggered conformation, fix the front carbon in place and rotate the rear carbon by 60° to get the eclipsed conformation:
从交错构象中,将前碳固定到位,并将后碳旋转 60°,得到重叠构象:

Note: In eclipsed conformers, the C-H bonds are supposed to be completely overlapped; however, to make the rear groups still visible, the bonds on the rear carbon are intentionally drawn slightly tilted.
注意:在重叠构象异构体中,C-H 键应该完全重叠;然而,为了使后基团仍然可见,后碳上的键故意稍微倾斜。
4.1.2 Conformation Analysis of Ethane
4.1.2 乙烷的构象分析
Next, we will do a conformation analysis of ethane by using the Newman projections. A conformation analysis is an investigation of the energy differences and relative stabilities of the different conformations of a compound.
接下来,我们将使用纽曼投影对乙烷进行构象分析。构象分析是对化合物不同构象的能量差异和相对稳定性的研究。
The two conformations of ethane, staggered and eclipsed, are different and therefore should be in different energy levels. You may also intuitively predict that the staggered conformation is more stable and is lower energy because the C-H bonds are arranged as far apart as possible in that conformation. That is correct! In eclipsed conformations, the H atoms on the front carbon are overlapping with the H atoms on the rear carbon, and this arrangement causes the repulsion between the electrons of C-H bonds of the two carbons. This type of repulsion is called torsional strain, also known as eclipsing strain. Due to torsional strain, the eclipsed conformer is in an energy level that is 12 kJ/mol (or about 2.9 kcal/mol) higher than the staggered one. This can be represented graphically in a potential energy diagram as shown in Figure 4.1f.
乙烷的两种构象,交错构象和重叠构象是不同的,因此应该处于不同的能级。您还可以直观地预测交错构象更稳定并且能量更低,因为在该构象中 C-H 键排列得尽可能远。那是对的!在重叠构象中,前碳上的H原子与后碳上的H原子重叠,这种排列导致两个碳的C-H键电子之间的排斥。这种类型的排斥称为扭转应变,也称为食应变。由于扭转应变,重叠构象异构体的能级比交错构象异构体高 12 kJ/mol(或约 2.9 kcal/mol)。这可以用势能图来表示,如图 4.1f 所示。

Figure 4.1e Staggered vs. eclipsed conformation
图 4.1e 交错构象与重叠构象

Fig. 4.1f Potential Energy of Ethane vs the Angle of Rotation about the C-C bond
图 4.1f 乙烷势能与 C-C 键旋转角度的关系
Because of this energy difference, an energy barrier must be overcome when rotation about the C-C bond occurs. However, this energy difference in ethane is small, and the kinetic energy of molecules at room temperature is high enough to cover it. So, at room temperature, the changes from staggered to eclipsed conformers occur millions of times per second. Because of these continuous interconversions, these two conformers cannot be separated from each other. However, at any given moment, about 99% of the ethane molecules will be in a staggered conformation because of their higher stability.
由于这种能量差异,当发生围绕 C-C 键的旋转时,必须克服能量势垒。然而,乙烷中的这种能量差很小,并且室温下分子的动能足够高来覆盖它。因此,在室温下,从交错构象异构体到重叠构象异构体的变化每秒发生数百万次。由于这些连续的相互转化,这两个构象异构体不能彼此分离。然而,在任何给定时刻,大约 99% 的乙烷分子将处于交错构象,因为它们具有更高的稳定性。
4.1.3 Conformation Analysis of Propane
4.1.3 丙烷的构象分析
A similar analysis can be applied to propane as well. There are still two types of conformations: staggered and eclipsed resulting from the rotation. The difference between propane and ethane is that there is a methyl (CH3) group connected on the rear carbon for propane. However, that does not affect the relative stability, and the staggered conformer is more stable and lower energy.
类似的分析也适用于丙烷。仍然有两种类型的构象:交错构象和因旋转而产生的重叠构象。丙烷和乙烷的区别在于丙烷的后碳上连接有甲基(CH 3 )基团。但这并不影响相对稳定性,交错构象异构体更稳定,能量更低。

Figure 4.1g Staggered and eclipsed conformation of propane
图 4.1g 丙烷的交错和重叠构象
4.1.4 Conformation Analysis of Butane
4.1.4 丁烷的构象分析
There are three C-C bonds in butane, and rotation can occur about each of them. If we choose C1-C2 (or C3-C4) for the study, the situation is almost the same as propane, with the ethyl CH2CH3 group replacing the CH3 group. However, if we consider the rotation about the C2-C3 bond, the situation will be much more complex.
丁烷中有三个 C-C 键,每个键都可以发生旋转。如果我们选择C1-C2(或C3-C4)进行研究,情况几乎与丙烷相同,用乙基CH 2 CH 3 基团代替CH 3 组。然而,如果我们考虑C2-C3键的旋转,情况就会复杂得多。

Figure 4.1h Conformation analysis of butane by viewing along C2-C3 bond
图4.1h 沿C2-C3键观察丁烷的构象分析
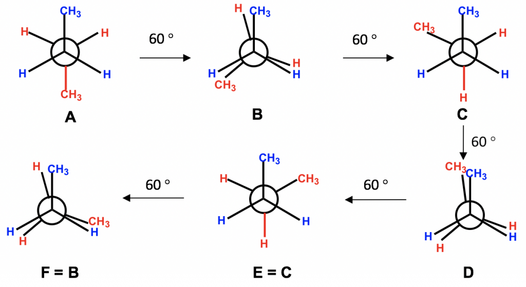
For both carbon atoms, C2 and C3, there are two hydrogen atoms and one methyl CH3 group bonded. We can start with the conformer in which the two CH3 groups are opposite to each other, then fix the front carbon and do 60° rotations of the rear carbon to investigate all the possible conformations.
对于两个碳原子(C2 和 C3),有两个氢原子和一个键合的甲基 CH 3 基团。我们可以从两个CH 3 基团相对的构象开始,然后固定前面的碳,将后面的碳旋转60°来研究所有可能的构象。
Exercises 4.1: Draw all the possible conformers of butane from viewing along the C2-C3 bond. Finish this practice by yourself before continue reading!
练习 4.1:沿着 C2-C3 键观察,画出丁烷所有可能的构象异构体。在继续阅读之前,请自行完成此练习!
Tips for drawing all the possible conformers about a certain C-C bond:
绘制某个 C-C 键的所有可能构象异构体的技巧:
View along that C-C bond; circle and decide what atoms/groups are connected on each carbon;
沿着 C-C 键查看;圈出并确定每个碳上连接的原子/基团;Start with the staggered conformation in which the largest groups on each carbon are opposite (far away) to each other (this is called the “anti”conformation as we will learn later);
从交错构象开始,其中每个碳上最大的基团彼此相对(远)(这称为“反”构象,我们稍后将了解到);Keep the groups on one carbon “fixed”, and rotate the groups on the other carbon at 60° angles. Repeat the rotation five times, and you should get total of six conformers.
保持一个碳上的基团“固定”,并以 60° 角旋转另一个碳上的基团。重复旋转五次,你应该得到总共六个构象异构体。
Answers to Chapter 4 Practice Questions第 4 章练习题答案

Figure 4.1i All the conformers of butane by viewing along C2-C3 bond
图4.1i 沿C2-C3键观察丁烷的所有构象异构体
Among all six conformers obtained, there are three staggered and three eclipsed. Staggered conformations C and E should be in the same energy level because the groups are arranged in an equivalent way between these two conformers. Similarly, eclipsed conformations F and B are also in the same energy level. So, our studies can be focused on the four conformers: A, B, C and D, which are different in terms of energy and stability.
在获得的所有六个构象异构体中,有三个交错异构体和三个重叠构象异构体。交错构象 C 和 E 应该处于相同的能级,因为这两个构象体之间的基团以等效方式排列。同样,重叠构象F和B也处于相同的能级。因此,我们的研究可以集中在四种构象异构体:A、B、C和D,它们在能量和稳定性方面有所不同。
Between the two staggered conformers A and C, A is more stable than C because the two methyl CH3 groups in A are as far apart as possible. This most stable staggered conformation is called the anti–conformation (anti is Greek for “opposite”). In anti–conformations, the largest groups on the front and rear carbon are 180° opposite to each other. The other staggered conformation C is called a gauche conformation, in which the two large groups are adjacent and are 60° to each other. With the large groups being close to each other in gauche conformers, the molecule experiences steric strain. Steric strain is the strain that is caused when atoms (or groups) are close enough together that their electron clouds repel each other. Steric strain only matters when the groups are close to each other (less or equal to 60°), so steric strain does not apply in anti-conformations. The magnitude of steric strain also depends on the size of the group: the larger the size, the higher the steric strain. As a result, there is no steric strain between two small hydrogen atoms, even if they are close to each other.
在两个交错构象异构体A和C之间,A比C更稳定,因为A中的两个甲基CH3基团距离尽可能远。这种最稳定的交错构象称为反构象(anti 是希腊语,意为“相反”)。在反构象中,前后碳上最大的基团彼此成180°相对。另一种交错构象C称为gauche构象,其中两个大基团相邻且彼此成60°。由于大基团在粗俗构象体中彼此靠近,分子会经历空间应变。位阻应变是当原子(或基团)足够接近以至于它们的电子云相互排斥时引起的应变。空间应变仅在基团彼此接近(小于或等于 60°)时才重要,因此空间应变不适用于反构象。空间应变的大小还取决于基团的大小:尺寸越大,空间应变越高。因此,即使两个小氢原子彼此靠近,它们之间也不存在空间应变。

Figure 4.1j Anti and gauche conformations
图4.1j Anti和gauche构象
Between the two eclipsed conformers B and D, D is less stable than B because the two CH3 groups are eclipsing (overlapping) each other in D, causing both torsional and steric strains.
在两个重叠构象异构体 B 和 D 之间,D 比 B 更不稳定,因为两个 CH 3 基团在 D 中彼此重叠(重叠),从而导致扭转和空间应变。

Figure 4.1k Comparison between the two eclipsed conformations
图4.1k 两种重叠构象的比较
The energy difference of all the conformers obtained from the rotation about the C2-C3 bond are shown in the potential energy diagram Fig. 4.1l. The curve is more complex than that of ethane since there are four different energy levels corresponding to four conformers with different stabilities. Even the energy barriers for the rotations are larger than that of ethane, but they are still not high enough to stop rotation at room temperature.
绕C2-C3键旋转得到的所有构象异构体的能量差如图4.1l势能图所示。该曲线比乙烷的曲线更复杂,因为有四种不同的能级对应于具有不同稳定性的四种构象异构体。即使旋转的能垒比乙烷大,但它们仍然不足以在室温下停止旋转。

Figure 4.1l Potential Energy of Butane vs the Angle of Rotation about the C2-C3 bond
图 4.1l 丁烷势能与 C2-C3 键旋转角度的关系
来源于资源矩阵知识星球【仪器分析学苑】

更多内容看下边:
当你在仪器分析工作的时候:
是否曾为一份技术教程无处找到而发愁? 是否在遇到问题时候无人解答? 是否需要提升认知的时候google不到自己想要的答案? 是否面对日益激烈的分析行业无人分析? 是否想告别那些成天都是广告满天飞的行业社群? 这些问题在我们的知识星球都能解决,这是仪器分析行业(色谱质谱)专属的知识星球,一个属于▶仪器分析◀色谱质谱行业的优质付费社群! 商业的底层逻辑是什么,是最短时间得到最准确的信息,加入知识星球能帮你节约宝贵时间,让你专注学习,分享,交流!让你专注于学习、分享、交流和商业洽谈。通过最低的成本,你可以获得最大的价值。
经过近200个日日夜夜的积累,仪器分析学苑知识星球已经囊括了超过100+份产品技术文档,视频,经验分享,行业报告等等。
还能加入特定交流群得到本人和各位大佬的指导
及其丰富的书籍资源,也可以提供相关的技术咨询

随着资料逐渐增加,会员人数逐渐增多,每隔半年,星球价格会依据情况相应上浮,早加入,早享受,等待就是成本!
星球价格,不过一顿饭,但是星球却可以持续的给你提供价值,助力市场开拓,销售增长,职场提升。还能扩大行业链接,增加创富可能!
目前扫码就可以加入:
知识星球1:仪器分析学家的培养基地:仪器分析学苑

知识星球2:只需要某某元,一顿茶水钱,扫码有惊喜,医药投资、了解医药创业,投资,职业的平台,附带群资源

vx:加我微信咨询:关注公众号-我的-联系我们,扫码加
医药仪器创业方面的群聊:邀请制或者加入知识星球 总结不易,大佬肯赞赏否? END
声明:本公众号所有转载文章系出于传递更多信息之目的,且明确注明来源和作者,不希望被转载的媒体或个人可与我们联系,我们将立即进行删除处理。所有文章仅代表作者观点,不代表本站立场。
垂直文章